多酚类物质

多酚类物质是什么?
图片尺寸1373x1045
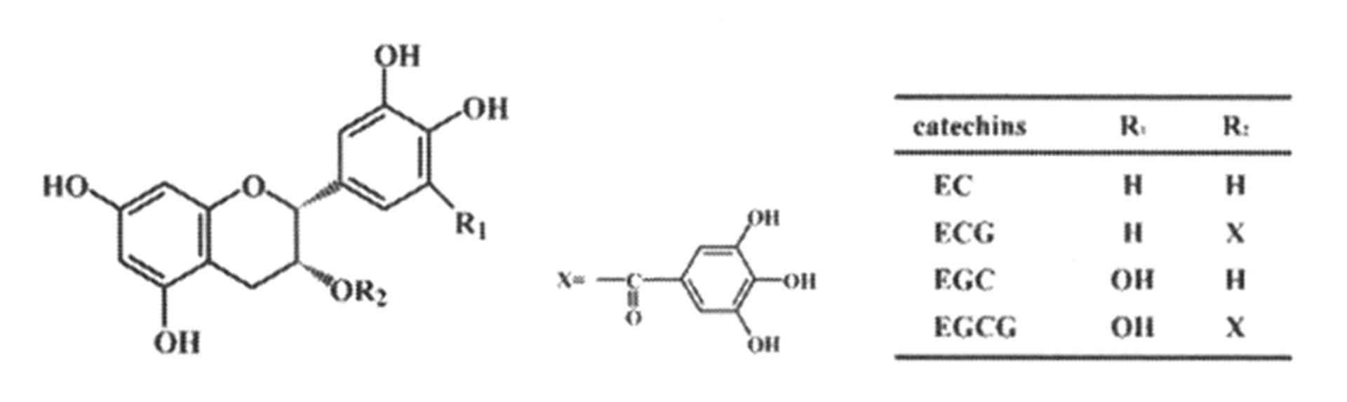
95茶叶中的茶多酚包括30多种多酚类物质, 主要分儿茶素,黄 - 抖音
图片尺寸1440x1920
福茶百科|茶叶中的多酚类物质 茶多酚是茶叶中的主要化合物,是多酚类
图片尺寸958x1280
多酚 多酚类物质是一组来源于植物的化学物质的统称,又被称为聚酚
图片尺寸1170x1540
茶多酚是茶叶中多酚类物质的总称,包括黄烷醇类,花色苷类,黄酮 - 抖音
图片尺寸1080x2028
p data-id="gncoa1g60y">茶多酚是茶叶中多酚类物质的总称,为白色不
图片尺寸1027x685
多酚类物质是一组来源于植物的化学物质的统称,又被称为聚 - 抖音
图片尺寸793x1058
茶叶中多酚类物质
图片尺寸1860x2631
p data-id="gncoa1g60y">茶多酚是茶叶中多酚类物质的总称,为白色不
图片尺寸1203x408
福茶百科|茶叶中的多酚类物质 茶多酚是茶叶中的主要化合物,是多酚类
图片尺寸958x1280
小喜年-硬核科普:全方位解析多酚类物质,带你了解更真实的茶多酚
图片尺寸1365x1130
中文名:茶多酚 释义:茶叶中多酚类物质的总称 包含:黄烷醇类,花色苷
图片尺寸1080x1440
苹果多酚
图片尺寸800x800
超级食品天然石榴提取物多酚补充剂 支持心脏和关节健康 增加活力
图片尺寸1916x1916
九芝堂长兴牌左旋肉碱茶多酚胶囊14g(350mg/粒×40粒)-阿里巴巴
图片尺寸1920x1920
聊聊低调的"多酚类物质"和它们的奇妙功效
图片尺寸900x383
天然多酚类物质抗结肠炎,抗腹泻,那么对消化性溃疡有什么作用呢?
图片尺寸658x474
p data-id="gncoa1g60y">茶多酚是茶叶中多酚类物质的总称,为白色不
图片尺寸1920x574
的守护者,葡萄籽提取物是从葡萄籽中提取分离得到的一类多酚类物质,也
图片尺寸2241x2988
"表没食子儿茶素没食子酸酯"(egcg),是茶叶中天然存在的多酚类物质
图片尺寸690x1923