大环内酯

大环内酯类化合物,其合成方法,药物组合物与应用_cn201810632262.
图片尺寸691x655
第一代大环内酯抗生素化学结构.
图片尺寸1006x626
大环内酯类药物ppt课件
图片尺寸800x600
大环内酯类-全药通-国内药品批发采购b2b网上商城
图片尺寸400x400
大环内酯(macrolides)类抗生素药物综述_包括_ery_细菌
图片尺寸854x709
大环内酯酶本品为采用基因工程技术获得的高纯度大环内酯类抗生素水解
图片尺寸1920x1723
28大环内酯类本-09ppt课件_第2页
图片尺寸920x690
医院里用到的抗生素都在这里了(一)
图片尺寸500x500
兽用药替米考星粉大环内酯类猪胸膜炎咳喘巴氏杆菌支原体感染牛羊
图片尺寸800x800
大环内酯类抗生素的作用机制是什么
图片尺寸1080x810
absmithiii组jacs大环内酯neaumycinb的首次全合成
图片尺寸660x323
大环内酯类抗生素
图片尺寸500x411
大环内酯类ppt
图片尺寸1080x810
大环内酯类课件ppt课件
图片尺寸920x690
第37章大环内酯类林可霉素类抗生素
图片尺寸920x690
大环内酯类抗生素ppt
图片尺寸800x600
大环内酯类抗生素 (研究实验用)
图片尺寸300x300
大环内酯的市场现状及应用范围的可行性研究
图片尺寸406x282
大环内酯类抗生素
图片尺寸1349x1868
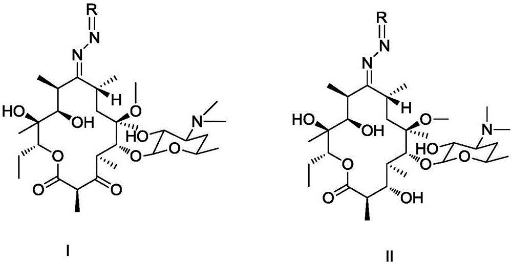
大环内酯类化合物其合成方法药物组合物与应用
图片尺寸1000x518