天主教圣歌

爱的真谛(音乐)(简谱)_奚秀兰圣歌_基督教歌谱大全
图片尺寸700x618
圣歌《十字架的爱》歌谱 - 乐器教程网
图片尺寸812x1149
光荣颂简谱图片
图片尺寸2328x3317
圣歌的歌词求歌名(主耶稣啊亲爱的主,我们今天来纪念圣诞,你为世人
图片尺寸500x406
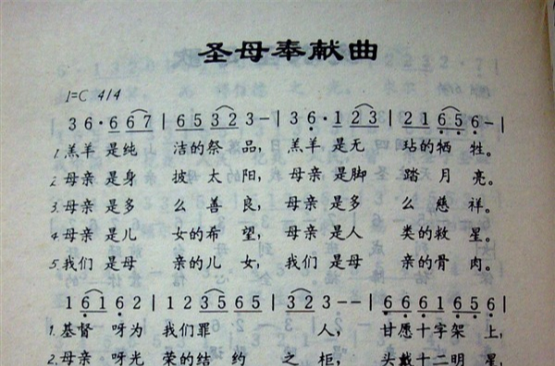
p data-id="gnwrwffb8l">《圣母奉献曲》是天主教歌曲,是一首颇受
图片尺寸600x800
圣母颂(天主教赞美诗歌)
图片尺寸2274x2313
圣歌《除你以外》 基督教 教会歌曲 钢琴双手简谱 钢琴谱
图片尺寸1800x2549
圣歌简谱,天主教圣歌简谱图
图片尺寸2697x3814
是一首经典的圣歌简谱曲目,耶稣救主爱小孩圣歌简谱如一抹天然心态的
图片尺寸2612x1800
圣歌简谱,天主教圣歌简谱图
图片尺寸2479x3508
p data-id="gnwrwffb8l">《圣母奉献曲》是天主教歌曲,是一首颇受
图片尺寸555x366
教简谱网歌谱网 诗歌下载五线谱 钢琴谱 圣歌韩国英文网站迦南诗赞美
图片尺寸474x575
教简谱网歌谱网 诗歌下载五线谱 钢琴谱 圣歌韩国英文网站迦南诗赞美
图片尺寸474x638
877_1050歌谱_阿们歌谱网
图片尺寸1000x1457
data-id="gnbvncv4td">原指 a target="_blank" href="/item/天主教徒
图片尺寸2480x3507
圣歌简谱,天主教圣歌简谱图
图片尺寸2697x3814
主爱无量
图片尺寸1400x2573
p data-id="gnwrwhj5g2">圣母七苦歌,天主教歌曲(歌词有误),属于音乐
图片尺寸690x489
2:10)今天在达味城中,为你们诞生了一位救世者,他是主默西亚
图片尺寸1262x2017
天主教唱赞美诗吗?
图片尺寸1280x1225