夫西地酸钠针

注射用夫西地酸钠的执行标准
图片尺寸600x425
立思丁(注射用夫西地酸钠)
图片尺寸900x675
注射用夫西地酸钠
图片尺寸600x450
巴能注射用夫西地酸钠价格对比025g
图片尺寸529x374
注射用夫西地酸钠
图片尺寸629x472
注射用夫西地酸钠
图片尺寸500x375
注射用夫西地酸钠0.5g
图片尺寸650x418
注射用夫西地酸钠
图片尺寸800x533
注射用夫西地酸钠
图片尺寸900x675
天兴注射用夫西地酸钠价格对比0125g
图片尺寸520x450
注射用夫西地酸钠
图片尺寸268x195
注射用夫西地酸钠
图片尺寸220x165
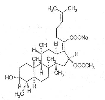
夫西地酸钠
图片尺寸140x100
夫西地酸钠
图片尺寸220x165
注射用夫西地酸钠
图片尺寸800x2340
立思丁(注射用夫西地酸钠)
图片尺寸800x1203
2020年空瓶记录
图片尺寸1080x607
注射用夫西地酸钠:4.
图片尺寸1024x690
rx立思丁-夫西地酸口服混悬液
图片尺寸800x800
p>注射用夫西地酸钠,适应症为夫西地酸主治由各种敏感细菌,尤其是
图片尺寸354x336