奈达铂针捷佰舒

注射用奈达铂(捷佰舒)价格对比 10mg*5支 南京先声东元制药
图片尺寸427x318
注射用奈达铂的儿童用药
图片尺寸418x291
捷佰舒 注射用奈达铂 10mg
图片尺寸800x800
捷佰舒03 (注射用奈达铂)进入中华医学会《妇科肿瘤铂类药物临床
图片尺寸750x1334
奈达铂(奥先达,捷佰舒) 主要不良反应有骨髓 抑制,胃肠道反应
图片尺寸1080x810
p>捷佰舒 (注射用奈达铂),适应症为主要用于头颈部癌,小细胞肺癌
图片尺寸200x100
大突破!
图片尺寸608x411
我们这个病人打的的紫杉醇脂质体 奈达铂 替雷利珠单抗化疗,化疗后
图片尺寸353x227
2017)上,奈达铂(商品名捷佰舒03)联合多西他赛与顺铂联合多西他赛
图片尺寸1365x766
奈达铂(捷佰舒)治疗恶性肿瘤ii期临床研究(课件幻灯)
图片尺寸1080x810
p>老爸的抗癌记录 br>11月26日第一次化疗,白蛋白紫杉醇 奈达铂,白
图片尺寸1200x2640
先声药业研制的艾拉莫德片,临床申请获批!
图片尺寸691x416
奈达铂联合紫杉醇化疗结合同步放疗治疗局部晚期鼻咽癌40例分析
图片尺寸1430x2066
北京朝阳区三环肿瘤医院,第一次化疗培美卡
图片尺寸1920x2560
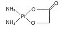
奈达铂通用名:奈达铂商品名:鲁贝,捷佰舒,奥先达英文名称:nedaplatin
图片尺寸640x250