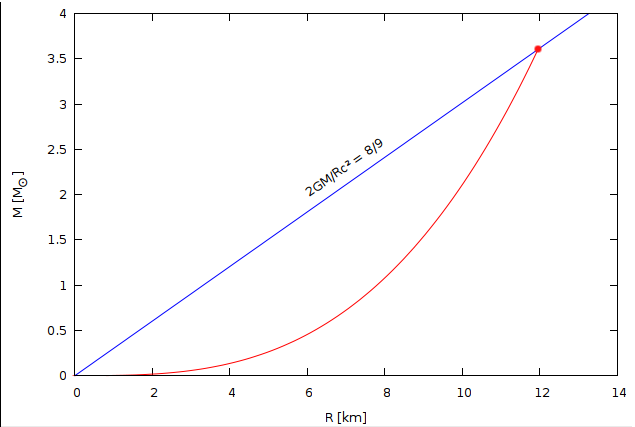
奥本海默极限

黑洞,引力坍缩,托尔曼-奥本海默-沃尔科夫极限
图片尺寸600x343
托尔曼-奥本海默-沃尔科夫极限
图片尺寸635x427
奥本海默极限
图片尺寸201x300
《奥本海默》超越imax极限:胶片达1.77万米之长 - 龙珠手游网
图片尺寸550x309
奥本海默极限
图片尺寸1920x3398
《奥本海默》惹恼印度:露骨场景出现印度教典籍
图片尺寸550x314
电影《奥本海默》热映,为何这位江苏籍物理学家却被国人追忆
图片尺寸1000x1482
这顶流一复出,全球影迷炸了
图片尺寸494x256
预计明年奥斯卡,《奥本海默》会狂揽小金人,影帝大概率也是这位不善
图片尺寸1080x675
7座"小金人"!《奥本海默》奥斯卡赢麻了
图片尺寸640x1196
奥本海默-沃尔科夫极限(中子星的质量上限),是值得一个诺贝尔物理学奖
图片尺寸640x928
我现在化身为死神,世界的终结者-奥本海默
图片尺寸480x360
98《奥本海默》全新海报751575157515
图片尺寸1080x1439
奥本海默极限
图片尺寸1564x892
奥本海默极限是多少倍太阳质量 - 抖音
图片尺寸640x360
诺兰携奥本海默亮相上海特别观影再度来沪深度分享口碑新作
图片尺寸3037x2025
克里斯托弗·诺兰新片《奥本海默》宣布将进行北美imax"返场"重映,从
图片尺寸1080x718
关于奥本海默电影造型和历史真人形象对比
图片尺寸1080x1439
看完《奥本海默》,这12本书为你解锁更多隐藏细节
图片尺寸900x1200
最佳影片《奥本海默》连斩7项大奖,基里安·墨菲,艾玛·斯通夺影帝
图片尺寸912x1354