女性深蹲重量表

那个深蹲体重入门重量图谁还有?
图片尺寸509x677
图中有2个因素,"自身体重",以及"深蹲重量"(请注意,此处皆以kg计量)可
图片尺寸720x556
里的主演张小斐,她这个体重深蹲到多少才能背起贾玲这样的重量?
图片尺寸460x444
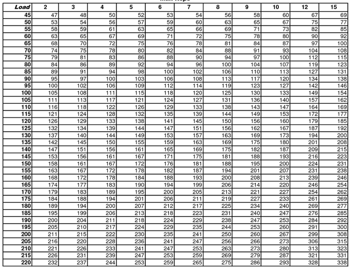
深蹲水平表
图片尺寸500x302
女生60公斤 深蹲90硬拉90卧推47.
图片尺寸1080x1439
健身动作分解(腿)—深蹲
图片尺寸1808x1188
负重深蹲自身体重15倍一次做多少个合适
图片尺寸247x375
女性 深蹲
图片尺寸609x700
【女性】深蹲,硬拉,卧推三项自测表
图片尺寸554x924
深蹲重量和体重的倍率如何才算合格?
图片尺寸720x556
300个深蹲后遗症
图片尺寸938x1250
中国男性深蹲实力表!到底蹲多少才算牛逼?
图片尺寸640x607
重量参考标准
图片尺寸1808x1188
深蹲对照表
图片尺寸500x417
女性版:男性版:参考标准是自身体重今天小编为大家送上这张深蹲重量
图片尺寸640x765
千古话题深蹲到底会不会粗腿能不能臀
图片尺寸1080x1440
栓q深蹲真的粗腿
图片尺寸1024x1094
突发张兆旭深蹲测试腰部受伤被急救送医院
图片尺寸650x1155
深蹲女生
图片尺寸705x765
99女生体重表6015这才是正常的体重表吧!
图片尺寸900x1199