孙小宝活宝简谱

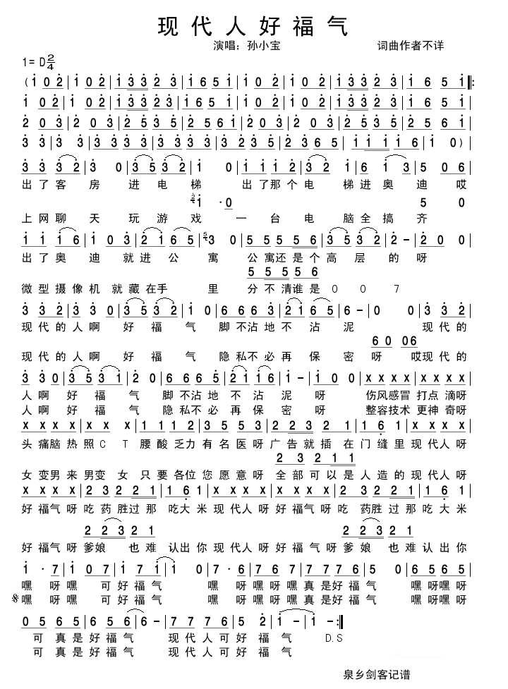
p>《现代人好福气》是由孙小宝演唱,收录《活宝》的一首歌曲.
图片尺寸720x977
p>《现代人好福气》是由孙小宝演唱,收录《活宝》的一首歌曲.
图片尺寸506x334
《活宝曲集》
图片尺寸665x552
美观_孙小宝【彩谱】_简谱
图片尺寸800x1152
咱们屯里的人
图片尺寸644x792
哈!小海宝简谱
图片尺寸678x669
查字典简谱网 流行类 > 正文 孙小宝 格式: 简谱 风格: 流行类
图片尺寸540x885
彝家娃娃爱飞鸟 童声表演唱 歌谱 简谱
图片尺寸667x1039
美观 孙小宝 歌谱简谱网
图片尺寸599x688
美观简谱(图1)
图片尺寸800x1152
data-id="sysubd5rqhda">《大实话》是孙小宝演唱的歌曲,收录于《活宝
图片尺寸463x493
【二人转】活宝孙小宝搞笑集中营(上)(dvd转录)
图片尺寸1440x1079
孙小宝精品大全 第二部 中经录音录像中心出版二人转
图片尺寸1200x1714
活宝孙小宝一首非常接地气的歌 唱的很现实 听后感觉一身轻松
图片尺寸720x1280
孙小宝夫妻二人转,不愧是活宝转星!-度小视
图片尺寸608x804
活宝_孙小宝_高音质在线试听_活宝歌词|歌曲下载_酷狗音乐
图片尺寸500x500
娶19岁金玲,认网红当干爹,如今心梗住院,孙小宝经历了什么?
图片尺寸980x1050
娶19岁金玲,认网红当干爹,现在心梗住院,孙小宝到底怎么了?
图片尺寸502x571
好戏登场:活宝登台,孙小宝真是活宝,各种搞笑信手拈来!
图片尺寸1280x720
05:51 孙小宝夫妻唱二人转有多逗?
图片尺寸864x486