孩尔来福

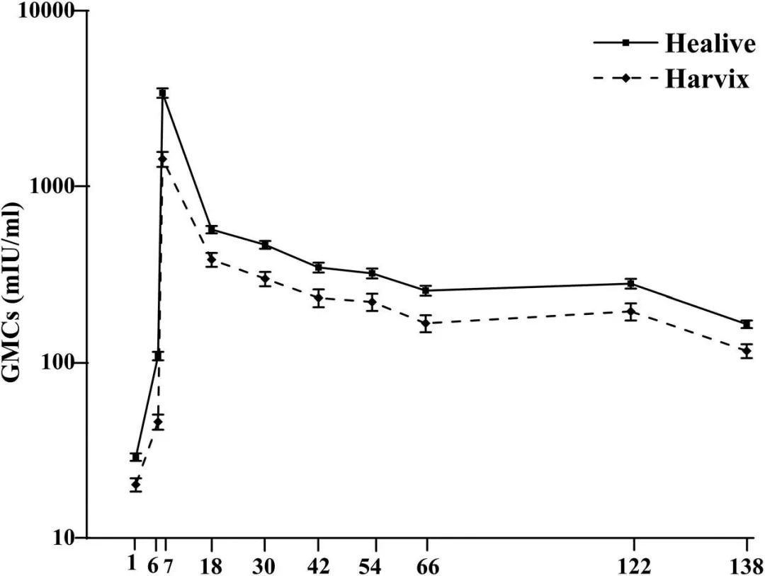
儿童接种孩尔来福后11年随访研究甲肝灭活疫苗能至少提供30年的有效
图片尺寸1080x714
福益全球丨十年磨一剑,孩尔来福正式获批进入韩国市场
图片尺寸1080x608
北京科兴生物制品有限公司生产的甲型h1n1流感病毒裂解疫苗"盼尔来福
图片尺寸450x303
土耳其卫生部长接种中国公司生产的新冠疫苗
图片尺寸640x340
13月龄宝宝提前接种甲肝灭活疫苗有没有什么危害
图片尺寸1080x1751
多款"来福"疫苗,包括中国首支通过who预认证的甲肝灭活疫苗"孩尔来福"
图片尺寸750x1000
孩尔来福
图片尺寸199x220
sinovac科兴20年#2002年中国第一支甲肝灭活疫苗孩尔来福上市
图片尺寸1080x1920
科兴20年#2017甲型肝炎灭活疫苗孩尔来福通过世界卫生组织预认证
图片尺寸640x1138
6号在cvs打了辉瑞 觉得有两剂克尔来福 一剂复必泰护体就放松了对口罩
图片尺寸1080x809
甲肝疫苗减毒和灭活的区别 两种疫苗各自优缺点大集合
图片尺寸560x375
孩尔来福于2002年上市,是中国使用量最大的甲肝灭活疫苗,在中国大陆31
图片尺寸489x352
儿童接种孩尔来福后11年随访研究显示:甲肝灭活疫苗能至少提供30年的
图片尺寸1080x814
今天特意穿的很民族风来福康宁拍照但开放后网红景点排队拍照的人太多
图片尺寸1080x1316
sinovac科兴甲肝灭活疫苗孩尔来福上市20年全球累计接种超1亿剂
图片尺寸600x420
美加州甲肝疫情严重 中国驻洛杉矶总领馆发出提醒
图片尺寸640x480
甲型肝炎灭活疫苗孩尔来福03:北京科兴生物制品有限公司生产,2017年
图片尺寸1080x824
sinovac科兴甲肝灭活疫苗孩尔来福上市20年全球累计接种超1亿剂
图片尺寸876x724
来福(全球首创手足口病疫苗) 孩尔来福(中国第一支甲型肝炎灭活疫苗)
图片尺寸878x606
有限公司研发的新冠灭活疫苗"克尔来福"正式通过世卫组织紧急使用认证
图片尺寸900x1346