完全三叉树

基于完全三叉树结构的多幅彩色图像加密方法与流程
图片尺寸1000x679
这种树木名叫"三叉苦",可能大家听到这个称呼会感觉比较陌生,但说到"
图片尺寸496x285
三叉苦树苗三桠苦正宗三丫苦药材种子苗落叶鸡骨树带土广西发货 三叉
图片尺寸790x1017
寻常三叉树
图片尺寸1200x1600
三叉树模型下的等价鞅测度
图片尺寸1195x1600
三叉苦树苗三桠苦正宗三丫苦药材种子苗落叶鸡骨树带土广西发货 三叉
图片尺寸790x863
下面这种树是什么树
图片尺寸2368x4208
diy手工建筑沙盘模型材料微景观场景树仿真成品树树干三叉树模型 三叉
图片尺寸800x800
三叉树
图片尺寸1200x2133
此外,三叉苦还具有很高的经济价值,它的木材结构非常细致,材质也比较
图片尺寸485x305
三叉树上有新叶子
图片尺寸700x497
joi2015final舞会
图片尺寸762x469
500g新鲜三叉苦 三桠苦 鸡骨树 三丫苦 斑鸠花 三叉虎野生中药材
图片尺寸750x750
这是什么树?叶成三叉形,在杭州是常见的行道树,但在上海好像没见过.
图片尺寸623x670
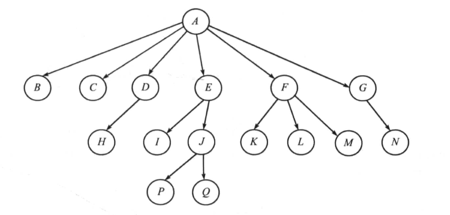
三叉树的建立以及前序遍历
图片尺寸650x449
探究三叉苦的功效与作用
图片尺寸600x400
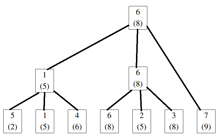
再来一棵完全三叉树:完全树(complete tree):从下图中看出,在第n层
图片尺寸386x220
请问这是什么树,懂的来!不懂不要乱说!
图片尺寸1080x1440
叶倒卵状三角形,通常3裂,裂片三角形,近于等大而呈三叉状,表面深绿色.
图片尺寸562x750
树三:n叉树篇_uzong-csdn博客_三叉树的推广公式 site:blog.csdn.net
图片尺寸882x423