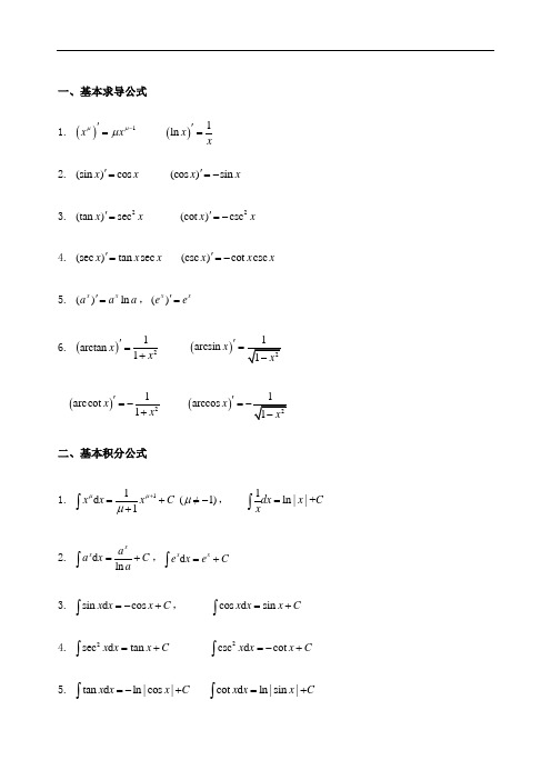
定积分导数

怎么求定积分的导数呢?和一般函数的求导有什么区别?为什么?
图片尺寸2016x2304
积分求导公式表
图片尺寸920x1191
定积分求导
图片尺寸689x303
导数微分积分基本公式对照表
图片尺寸804x1069
定积分求导基本公式 - 百度文库
图片尺寸496x702
定积分问题求导
图片尺寸1703x2116
高等数学导数微分不定积分公式
图片尺寸920x1302
导数微分积分基本公式对照表pdf
图片尺寸800x1133
高等数学练习册第2版 高等院校大学数学系列教材 函数定积分微分导数
图片尺寸800x800
定积分求导数 这个的怎么求 如图 第2题
图片尺寸1936x2592
学渣逆袭指南 #变上限积分函数 #变上限积分求导 #定积分 #考研
图片尺寸1079x1392
定积分,导数及应用答案ppt
图片尺寸1080x810
定积分求导怎么理解?一般有哪些方法?
图片尺寸3024x1134
高数积分导数公式_定积分求导基本公式
图片尺寸1024x795
定积分.
图片尺寸717x603
定积分求导
图片尺寸524x396
高数定积分,求定积分的一阶导数,这道题答案怎么来的?
图片尺寸2976x2124
高中导数积分公式表doc1页
图片尺寸792x1120
不定积分和导数的对照表
图片尺寸678x1167
定积分求导公式?
图片尺寸640x645