实数混合运算

山西2021模考精选汇编【数学】 · 实数的混合运算
图片尺寸1080x1527
7实数与二次根式的混合运算-计算题86道_3.doc
图片尺寸792x1120
7实数与二次根式的混合运算-计算题86道_3.doc
图片尺寸792x1120
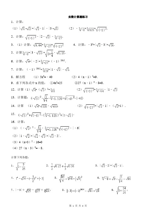
初三年级数学实数的混合运算.doc
图片尺寸993x1404
数学实数的混合运算-专题训练(60 题).#图文伙伴计划 # - 抖音
图片尺寸1242x1660
7实数与二次根式的混合运算-计算题86道_3.doc
图片尺寸792x1120
7实数与二次根式的混合运算计算题86道3pdf25页
图片尺寸804x1137
实数与二次根式的混合运算计算题86道3资料
图片尺寸920x1304
人教版七年级第六章实数混合运算强化训练.doc 2页
图片尺寸792x1120
实数的混合运算(精)经典难题复习巩固(学生).doc
图片尺寸792x1120
实数混合运算
图片尺寸920x1302
实数及二次根式的混合运算计算题道doc
图片尺寸800x1132
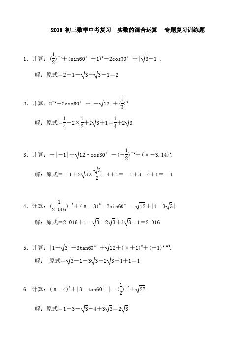
2018 初三数学中考复习实数的混合运算专题复习训练题 1.
图片尺寸496x702
实数混合运算100题及答案 - 百度文库
图片尺寸496x702
实数及二次根式的混合运算计算题道doc
图片尺寸800x1132
实数的混合运算习题
图片尺寸920x1302
实数与二次根式的混合运算-计算题86道_3资料.docx 17页
图片尺寸860x1219
人教版七年级第六章实数混合运算强化训练.doc 2页
图片尺寸792x1120
实数混合运算100题及答案 - 百度文库
图片尺寸496x702
中考最全复习资料数学中考总复习专题训练实数混合运算.docx
图片尺寸860x1218