家书是什么意思

一封家书【胡楼小学优秀家书评选活动】
图片尺寸1499x1999
冠县外国语学校尺素传情爱在心间小学部开展一封家书教育活动
图片尺寸522x696
在这一个月一封家书,爸爸妈妈看到了你的成长,你学会了努力,学 - 抖音
图片尺寸1440x1920
东莞国防专讯|来自新兵爸爸的一封家书!
图片尺寸1040x1596
"安全微家书"作品展播(一)
图片尺寸1080x1714
写给孩子的一封家书! - 抖音
图片尺寸1440x2020
亲子家书
图片尺寸2000x2667
【三实验团队61全环境立德树人】家书传家风 千钧情意重——青岛市
图片尺寸555x784
冠县外国语学校尺素传情爱在心间小学部开展一封家书教育活动
图片尺寸634x847
温情祝福送到!你有一封"微家书"待查收
图片尺寸1080x1439
一封家书1000字
图片尺寸920x1191
你想拿起笔写封家书吗?
图片尺寸1536x2048
一封写给家人的家书模板范文 卿卿父亲 卿卿母亲 见字如晤 姐妹们有
图片尺寸960x1280
给爸爸妈妈的一封家书.doc
图片尺寸920x1302
父亲,见字如面!广州公安新警手写家书报平安
图片尺寸640x854
给孩子的一封家书精编版
图片尺寸920x1303
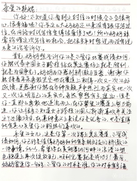
吴艳妮母亲家书:谢谢你能捂着耳朵,勇敢坚定地证明自己
图片尺寸575x763
"声动人心"诵读展播 ⑥|夜空中最亮的星
图片尺寸1076x981
写给父母的家书30篇
图片尺寸920x1302
给父母的一封家书
图片尺寸920x1302