对数求导法

logx的导数
图片尺寸471x714
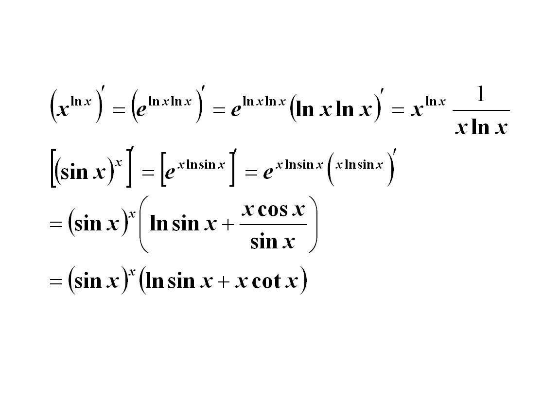
对数求导法
图片尺寸1152x864
高数 利用对数求导法求导
图片尺寸394x398
log函数,也就是对数函数,它的求导公式为y=logax,y=1/(xlna) (a>0且a
图片尺寸960x720
高数笔记4隐函数和对数求导法
图片尺寸1080x1423
对数求导法:y=根号x 1*(2-x)的3次方/sinx,求y
图片尺寸1525x1136
大学高数题 用取对数求导法
图片尺寸1600x900
高数题 用对数求导法求下lie函数的导数
图片尺寸1707x1540
专升本高等数学:对数求导法
图片尺寸1080x810
用对数求导法求下列函数导数
图片尺寸1280x720
用对数求导法求下列函数的导数【见图
图片尺寸3264x2448
请问如何用极限推导对数函数的导数公式!
图片尺寸450x450
国庆快乐!可以先取对数再利用隐函数求导法如图计算.
图片尺寸640x480
4.3 对数求导法ppt
图片尺寸1080x810
2,指数函数求导公式怎么推
图片尺寸568x423
高数求导
图片尺寸450x587
医学高数6(求导数的一般方法)ppt
图片尺寸1080x810
有关对数函数的公式?谁知道啊.
图片尺寸1474x1421
类似对数函数求导
图片尺寸450x473
展开全部 这样的题可以采用等式左右两边取对数的方法来求导的.
图片尺寸3024x1981