导数表情包

拉格朗|柯西|导数_网易订阅
图片尺寸572x400
当你无法求导时你可以故意抄错题目继续洛抄错洛必达求导题目故意表情
图片尺寸580x814
各行各业的专用表情包医生的表情包真是笑死人
图片尺寸650x635
这副表情包看不懂,有大神解答一下吗?
图片尺寸440x440
广义导数
图片尺寸207x156
男子嫌妻子矮离婚 网友:自己170cm还说别人
图片尺寸600x600
重极限,连续,偏导数,全微分
图片尺寸500x553
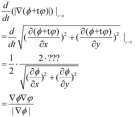
求解一个简单的偏微分求导貌似就差一点点中间过程了gtlt
图片尺寸446x387
毕导的科技进化论如何以幽默之名突破科学传播的边界m
图片尺寸1080x507
导数
图片尺寸400x342
数学知识提升了 憨憨猫 mur猫表情包_mur_数学知识_提升表情
图片尺寸440x338
各行各业的专用表情包医生的表情包真是笑死人
图片尺寸650x655
计算机专业表情包图片各个专业表情包盘点你的专业也有自己专属表情包
图片尺寸500x477
神经网络之导数
图片尺寸459x310
数信学院高数辅导班开始报名啦
图片尺寸720x470
高三党现在数学及格线徘徊刷2000真题有用吗快高考了
图片尺寸560x560
高数同济六版课件d9_7方向导数与梯度ppt
图片尺寸1080x810
导数!急!
图片尺寸262x250
可得由角动量定理,力矩等于角动量的时间导数这个模型不是简单的单摆
图片尺寸250x119![[2x/(1 x^2)]dx的积分是什么](https://i.ecywang.com/upload/1/img2.baidu.com/it/u=2279631212,164043777&fm=253&fmt=auto&app=138&f=JPG?w=271&h=244)
[2x/(1 x^2)]dx的积分是什么
图片尺寸271x244