小学生手写

少了一个爱我的爷爷小学生手写诗令人泪目
图片尺寸641x1392
凉州词小学生必背古诗词手写版03
图片尺寸1080x1439
小学生手写500余封书信为冬奥健儿加油
图片尺寸1024x1506
少了,一个爱我的爷爷……小学生手写诗令人泪目
图片尺寸640x1180
小学生期末评语,手写的才有灵魂,在一笔一划中,传达对学生的爱 - 抖音
图片尺寸2560x1920
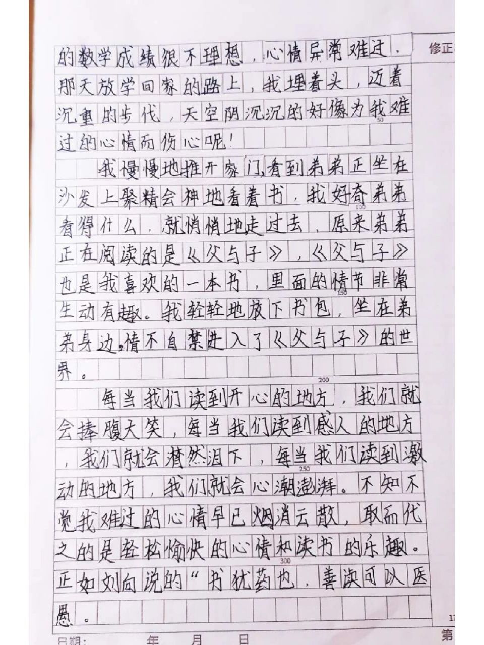
小学生手写作文《阅读让生活更美好》 小学生手写作文《阅读让生活更
图片尺寸960x1280
小学生手写作文《阅读让生活更美好》 小学生手写作文《阅读让生活更
图片尺寸960x1280
本外研版一二三年级上下册铅笔练习小学生手写字母英文书法钢笔字帖
图片尺寸800x1000
小学生手写想象作文《飘在天上的日子》 小学生心心的手写想象作文
图片尺寸1009x1280
小学生手写想象作文《飘在天上的日子》 小学生心心的手写想象作文
图片尺寸960x1280
浙江小学生手写字堪比印刷体 网友点赞(5)
图片尺寸640x927
小学生手写作文《阅读让生活更美好》 小学生手写作文《阅读让生活更
图片尺寸960x1280
因病结缘难忘4年医患情9岁小学生手写感谢信赠医生
图片尺寸691x988
还想要这种小学生手写的表达爱的图
图片尺寸600x439
武汉加油青岛小学生手写祝福
图片尺寸2736x3648
因病结缘难忘4年医患情9岁小学生手写感谢信赠医生
图片尺寸680x980
我手写我心——我们创作的儿童诗
图片尺寸2000x2667
4小时找回钱包手机小学生手写感谢信送给警察叔叔
图片尺寸1080x1470
浙江小学生手写字堪比印刷体 网友点赞(3)
图片尺寸640x893
小学生手写"印刷体"火了,工整唯美辨识度高 小学生能写出一手好字,对
图片尺寸1238x1280