尼龙-66结构式

尼龙 6/66结构式
图片尺寸400x400
pa66尼龙板
图片尺寸1668x409
浅析尼龙的结构及吸附特性
图片尺寸5102x2834
尼龙66或尼龙分子.它是塑料聚合物.结构化学式和分子模型
图片尺寸1200x857
尼龙| pa66的聚合工艺介绍
图片尺寸448x112
尼龙66项目可行性研究报告
图片尺寸640x454
图片尺寸1200x864
图片尺寸605x375
从其分子结构就可以看出,尼龙66的结构更加的稳固,所以其制造出来的
图片尺寸383x282
图片尺寸1938x763
nylon 66 or nylon molecule. it is plastic polymer
图片尺寸1200x768
一种无卤阻燃尼龙66聚合物的制备方法有效
图片尺寸1401x463
尼龙6和尼龙66的比较
图片尺寸640x277
化学实验:11年级学生自制尼龙比赛
图片尺寸1080x847
图三:pa 6 和pa 66分子结构尼龙材料中的酰胺基团与水分子形成氢键后
图片尺寸580x652
尼龙66与尼龙6的区别在哪儿?
图片尺寸970x366
聚己二酰己二胺 新闻专题 >> 正文尼龙66与尼龙6的区别 结构:
图片尺寸445x283
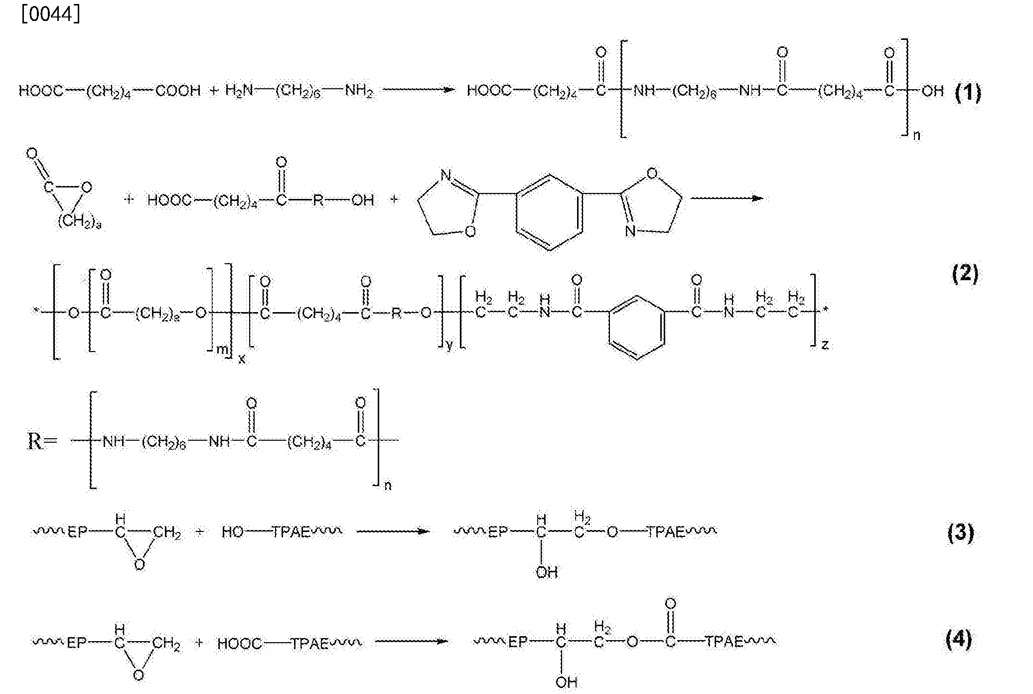
聚酯型尼龙66热塑性弹性体及其合成方法专利
图片尺寸2073x1392
尼龙pa6与pa66结构式区别
图片尺寸506x300
首先,在结构方面,尼龙66是由己二酸和己二胺缩聚而成,单个分子中含有9
图片尺寸640x658