己烯雌酚结构

己烯雌酚的基本含义
图片尺寸449x316
己烯雌酚|diethylstilbestrol|56-53-1|dr.e|纯品型||0.1g
图片尺寸1286x593
执业西药师结构之己烯雌酚
图片尺寸699x233
己烯雌酚结构式
图片尺寸250x250
执业西药师结构之己烯雌酚
图片尺寸351x304
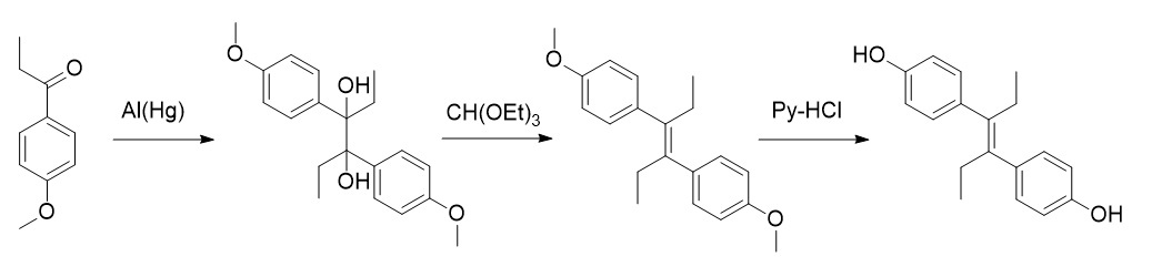
己烯雌酚顺反异构混合物
图片尺寸474x656
己烯雌酚结构式图片
图片尺寸605x375
己烯雌酚56531标准品
图片尺寸500x500
二乙基己烯雌酚结构式
图片尺寸332x227
d807246 己烯雌酚, 99%
图片尺寸356x180
己烯雌酚
图片尺寸572x194
药物科普激素的梦魇己烯雌酚
图片尺寸2336x832
药物科普激素的梦魇己烯雌酚
图片尺寸883x424
药物科普激素的梦魇己烯雌酚
图片尺寸815x738
己烯雌酚
图片尺寸180x358
药物科普激素的梦魇己烯雌酚
图片尺寸1037x241
己烯雌酚cas6898971
图片尺寸256x100
药物科普激素的梦魇己烯雌酚
图片尺寸918x250
丙酸己烯雌酚化学分子
图片尺寸378x255
丙酸己烯雌酚
图片尺寸216x418