布朗运动化学

涨知识酒中的布朗运动
图片尺寸500x282
布朗运动
图片尺寸600x338
为何布朗运动是无规则的
图片尺寸1390x1048
布朗运动中的气体分子满足怎样的分布率
图片尺寸316x342
一个物理实验的启示 扩散现象 布朗运动路线图
图片尺寸1080x810
一张图看懂布朗运动数量关系及运动规律
图片尺寸1685x1036
介绍胶体中的布朗运动,斯托克斯运动等等 第2章 动力学性质 chapter
图片尺寸1080x810
布朗运动ppt
图片尺寸1080x810
布朗运动ppt
图片尺寸1080x810
布朗运动基本方程
图片尺寸1004x1042
一,布朗运动 1,定义: 后来又发现许多其它物质如煤, 化石,金属等
图片尺寸1080x810
布朗运动基本方程
图片尺寸958x870
图1-4 布朗运动示意图
图片尺寸2247x1193
布朗运动-化学词典-专业词典
图片尺寸330x484
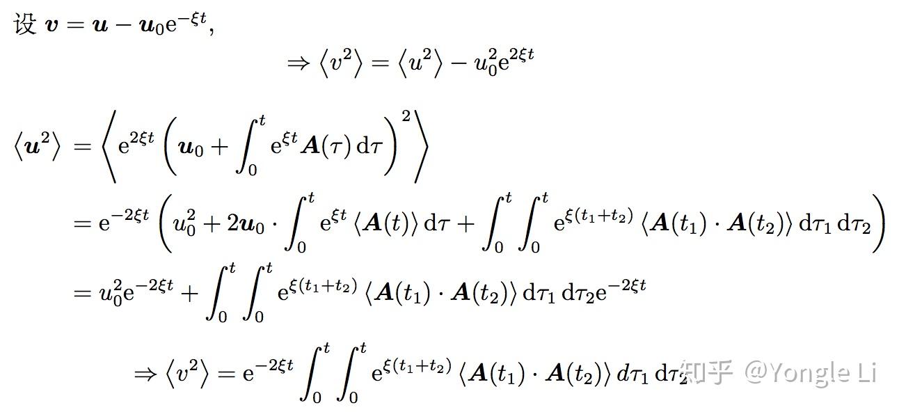
布朗运动基本方程
图片尺寸1292x592
一图看懂新旧范式布朗运动理论的建立过程
图片尺寸1801x1024
p>布朗运动是指悬浮在液体或气体中的微粒所做的永不停息的无规则
图片尺寸984x846
布朗运动(布朗运动实验视频)
图片尺寸1154x1100
布朗运动微观模型
图片尺寸1920x1080
胶体粒子也做布朗运动.
图片尺寸1080x810