希尔伯特空间

希尔伯特空间,数学空间的神秘之地
图片尺寸640x427
希尔伯特空间
图片尺寸640x400
谁能用人话给我说说希尔伯特空间?
图片尺寸407x316
希尔伯特双态空间仓
图片尺寸1000x802
希尔伯特空间,代数,拓扑和几何的融合,是量子力学的数学基础
图片尺寸500x500
希尔伯特空间,无限维的基石,每个向量都是自然法则的一个注脚
图片尺寸1815x1057
再生核希尔伯特空间(reproducing kernel hilbert space)
图片尺寸1173x695
希尔伯特空间
图片尺寸560x373
p>在数学中,希尔伯特空间是 a href="#" data-lemmaid="8281167">欧
图片尺寸300x247
最优化方法1——各类拓扑空间与强弱紧集,下半收敛问题
图片尺寸1226x901
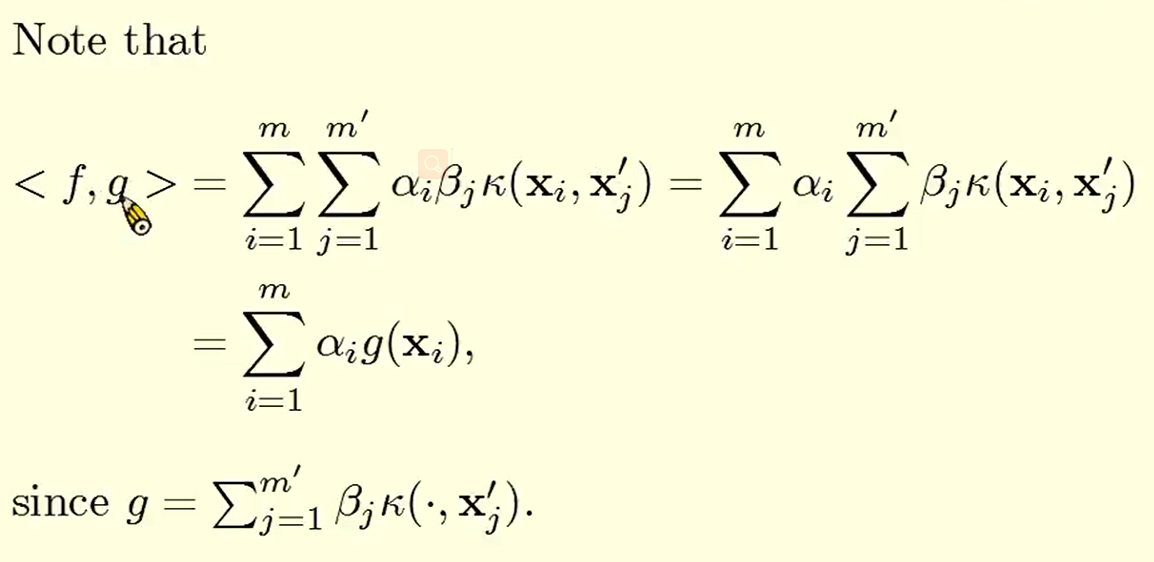
再生核希尔伯特空间(reproducing kernel hilbert space)
图片尺寸1154x562
如果只能在时间与空间中二选一
图片尺寸645x483
什么是"希尔伯特空间"?
图片尺寸640x478
希尔伯特空间_第3页
图片尺寸920x690
线性赋范空间 线性 范数 巴拿赫空间 线性 范数 完备 希尔伯特空
图片尺寸1080x810
希尔伯特曲线
图片尺寸465x465
500
图片尺寸472x673
空间
图片尺寸1170x1200
(不懂希尔伯特空间,没资格说自己学过量子力学,比如我)只提一下波动
图片尺寸640x497
什么是"希尔伯特空间"?(来自:中科院物理所)
图片尺寸684x2818