常用的帕德近似

帕德近似
图片尺寸1407x925
帕德近似如何操作? - 知乎
图片尺寸720x386
三,帕德逼近(分式逼近)
图片尺寸568x708
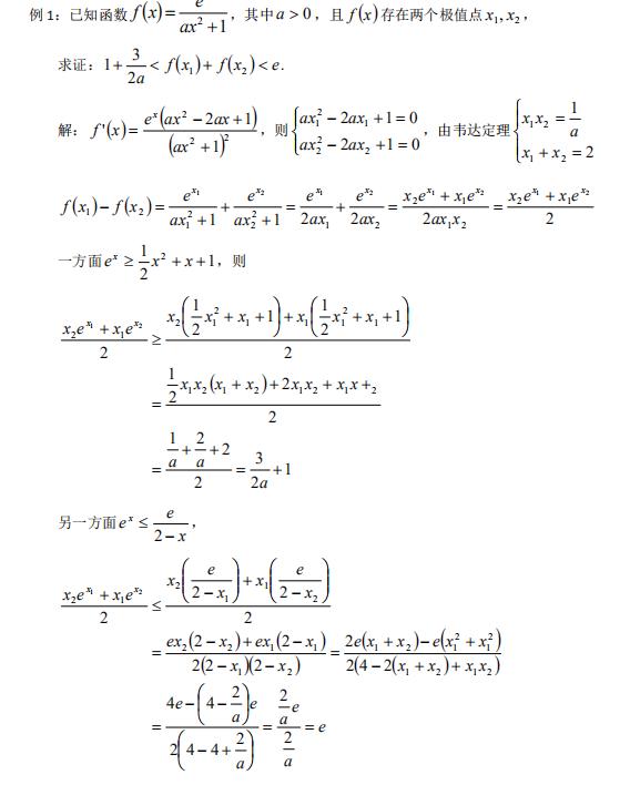
导数问题函数逼近的一些方法
图片尺寸720x377
比大小神器:泰勒公式与帕德逼近 - 抖音
图片尺寸1920x1080
关于帕德逼近的一些问题
图片尺寸1080x677
王庆丰用泰勒展开推导帕德逼近的举例与应用
图片尺寸724x596
三角函数的帕德逼近
图片尺寸1600x402
王庆丰用泰勒展开推导帕德逼近的举例与应用
图片尺寸670x393
指数函数对数函数与正切函数tanx的常见近似式帕德逼近
图片尺寸1280x720
如何估计 ln2 的近似值?
图片尺寸433x254
帕德近似
图片尺寸1411x926
帕德逼近 泰勒公式可以解决许多同学们碰到 - 抖音
图片尺寸1440x1920
泰勒公式帕德逼近麦克劳林洛朗级数构造法
图片尺寸1080x1527
帕德逼近matlab算法一种基于帕德逼近的通信误差函数逼近方法与流程
图片尺寸985x901
值得注意的是,函数 虽然没有在帕德逼近的公式中出现,但是它对 的
图片尺寸720x378
王庆丰用泰勒展开推导帕德逼近的举例与应用
图片尺寸699x660
王庆丰用泰勒展开推导帕德逼近的举例与应用
图片尺寸721x450
讲解高考函数热门方法:pade逼近(帕德逼近) 前言: 这帮学着没事干的
图片尺寸960x1280
帕德逼近padesapproximant
图片尺寸1216x1888