干电池型号

创新设计,引领无线化未来,赛富德safd 18650 26ep电芯评测_电池_什么
图片尺寸1080x721
纽扣电池型号对照表
图片尺寸725x590
这是几号电池?
图片尺寸930x893
南孚电池5号 7号电池 南孚正品电池 碱性电池放电高达400分钟以上
图片尺寸750x355
opzv长寿命蓄电池 2v1000ah.三瑞蓄电池免维护铅酸 - 抖音
图片尺寸1440x1920
常用纽扣电池型号对照表
图片尺寸737x551
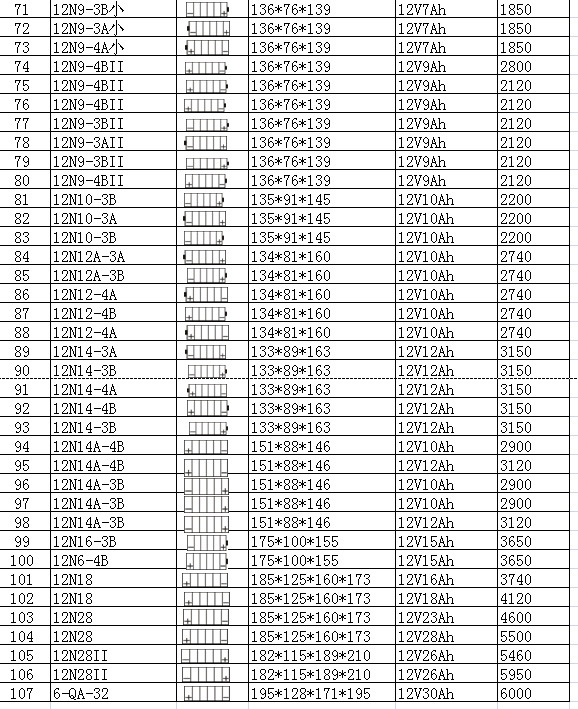
厂家直销起动型电瓶摩托车蓄电池12v7ah干荷铅酸蓄电池12n7-3b/4b
图片尺寸578x709
r,lr系列普通电池规格型号参数表
图片尺寸959x1356
电池5号7号耐用正品碱性空调遥控器玩具鼠标普通干电池
图片尺寸800x800
干电池型号规格
图片尺寸664x459
高功率碱性8号电池 比苛品牌lr1干电池2节卡装英文1.5v电池
图片尺寸908x331
恒安蓄电池12v100ah
图片尺寸1012x779
电池型号有哪些电池的分类有哪些
图片尺寸641x402
厂家直供11a 6v电池 l1016环保碱性干电池 车库门报警器6v电池
图片尺寸790x518
纽扣电池型号规格表b
图片尺寸1654x2339
电池型号规格大全
图片尺寸720x1238
常用移动电源电池型号表
图片尺寸777x1085
手表电池型号对照表,卡西欧手表都用的什么型号的纽扣电池?-第1张图片
图片尺寸573x407
美国原装海志蓄电池hzb12-55提供报关资料 免费安装
图片尺寸760x587
apx蓄电池参数表.jpg
图片尺寸1075x774