库仑力公式

"gnt2m9cpaz">库仑定律(coulombs law)是静止点电荷相互作用力的规律
图片尺寸575x380
库仑静电力的电势分布公式的16种证明.
图片尺寸1344x2112
的金属小球a和b(均可看做点电荷),分别固定在两处,两球间静电力为f
图片尺寸541x310
库仑力公式
图片尺寸750x400
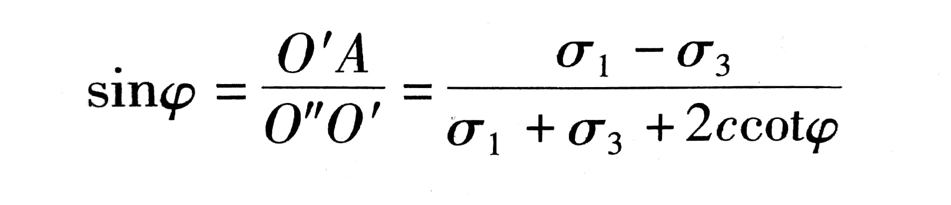
摩尔-库仑理论
图片尺寸1904x412
固定在相距为r的两处,它们间库仑力的大小为f两小球互相接触后将其
图片尺寸500x278
库仑力公式是什么?
图片尺寸640x256
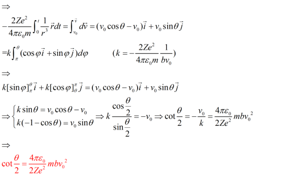
库仑散射公式推导
图片尺寸958x566
库仑力公式
图片尺寸300x218
库仑定律习题 库仑定律教案 库仑定律ppt 黑体辐射 万有引力定律 物理
图片尺寸1080x810
电荷间是库仑力.公式如图.
图片尺寸423x185
cie物理a2库仑定律part2
图片尺寸1080x1397
强力与弱力有没有像库仑力那样的公式? - 知乎
图片尺寸1125x517
静电力计算公式
图片尺寸600x400
库仑定律是 a href="#" data-lemm
图片尺寸118x155
解析库仑力及万有引力相互作用的原理→感应论
图片尺寸640x879
质量关系是m甲=3m乙,则它们在库仑力的作用下产生的加速度之比是
图片尺寸498x204
静电力#
图片尺寸496x240
带相同电量金属球的库仑力怎么算
图片尺寸630x331
公式 一,基本公式 【备注】q:场源电荷 q:试探电荷 k:静电力常
图片尺寸673x893