弹性势能公式

弹性力学常用公式最合理排版配合吴家龙弹性docx6页
图片尺寸792x1120
弹性公式 y y x y e x x y x y dy dy x y y e lim
图片尺寸1080x810
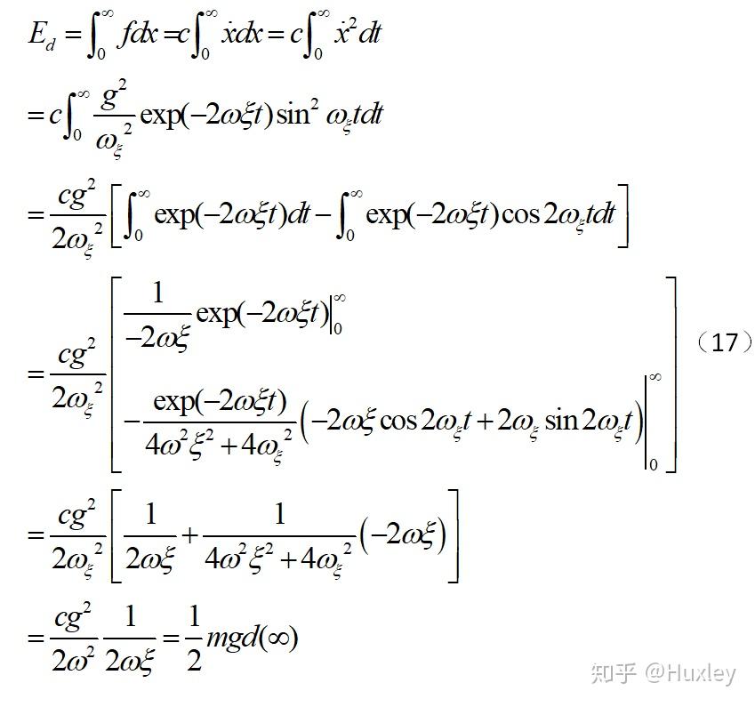
弹簧弹性势能公式在竖直情况下与f=kd存在的矛盾怎么处理?
图片尺寸720x618
弹性势能的公式怎么来的
图片尺寸780x1040
弹性力学公式
图片尺寸1263x893
弹簧弹性势能公式在竖直情况下与fkd存在的矛盾怎么处理
图片尺寸849x795
关于动量和弹性势能的问题
图片尺寸581x443
弹塑性力学定理和公式.doc
图片尺寸993x1404
什么是弹性力学
图片尺寸271x296
弹性势能的教学目标1,理解弹性势能的概念及意义.
图片尺寸421x334
弹簧弹性势能公式的六种推导方法
图片尺寸877x1239
弹簧弹性势能公式的六种推导方法 摘要:本文用六种不同的方法,从六种
图片尺寸496x702
5.2 弹性势能与重力势能的区别
图片尺寸850x480
弹性势能的公式及其推导公式
图片尺寸500x375
弹性势能公式,弹性势能的分解6
图片尺寸654x489
探究弹性势能表达式学案
图片尺寸747x415
动 能 ek= 1 mv2; 2 重力势能 ep=mgh; 弹性势能 e弹= 1 kx2; 2 2
图片尺寸1080x810
探究弹性势能的表达式可以实验操作吗
图片尺寸608x218
重力势能和弹性势能 高中物理必修二
图片尺寸557x381
某同学在资料中查得弹簧弹性势能表达式为
图片尺寸630x335