微分公式

导数微分积分基本公式对照表pdf
图片尺寸800x1133
高等数学导数微分不定积分公式
图片尺寸920x1302
微积分公式大全
图片尺寸920x1302
微分和积分数学公式大全
图片尺寸1080x974
高数【凑微分】 三角常用公式大全.凑微分方法 高数常用公式# - 抖音
图片尺寸1530x1920
微分积分公式全集
图片尺寸920x1302
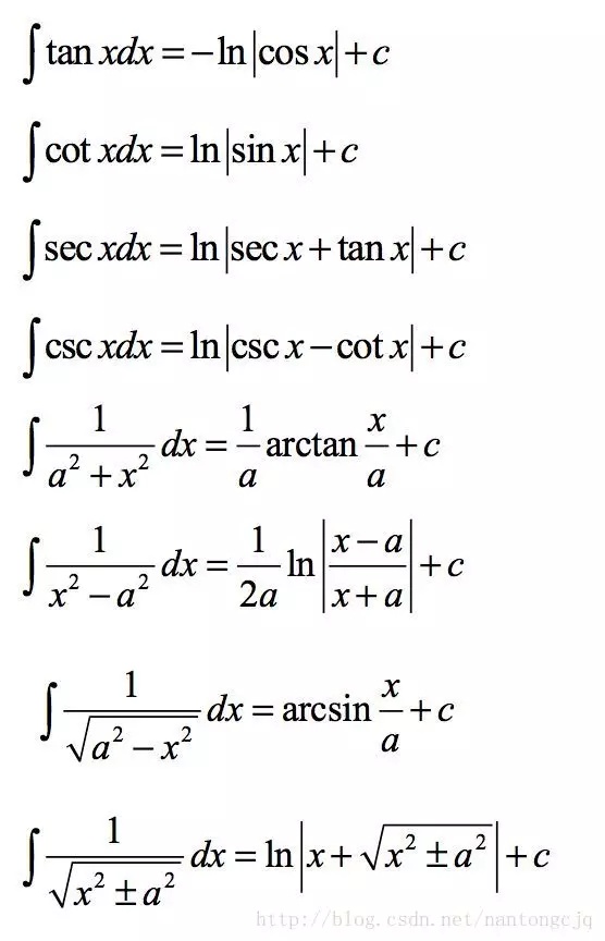
凑微分公式微分积分三角函数数学公式大全
图片尺寸556x864
常用微分公式doc
图片尺寸920x1302
常用微分公式列举
图片尺寸800x1132
微分积分公式.doc
图片尺寸993x1404
高数不定积分常见的凑微分公式
图片尺寸920x1302
微分积分公式全集
图片尺寸920x1303
微积分,常微分方程公式
图片尺寸959x1357
导数微分积分基本公式对照表
图片尺寸920x1304
微分方程公式运用表
图片尺寸920x1302
三,部分基本初等函数的微分公式
图片尺寸701x698
微分积分公式全集
图片尺寸920x1302
微分方程公式总结
图片尺寸920x1302
微分公式
图片尺寸640x497
微分公式
图片尺寸638x328