总体e-r图

e-r图.png
图片尺寸771x553
图2 校内网站总体e-r图
图片尺寸981x728
图4-3数据库总体e-r图
图片尺寸712x567
4.1 数据库整体关系e-r图
图片尺寸761x622
e-r图典型实例
图片尺寸1434x740
总体e-r图
图片尺寸1204x823
酒店管理er图
图片尺寸920x1302
总体e—r图的优化:消除多余的属性和多余的联系.
图片尺寸609x354
人力资源管理系统e-r图
图片尺寸1123x867
e-r图的基础练习
图片尺寸526x399
8.1 总体e-r图
图片尺寸1260x802
图9实体联系局部图 3.2 总体e-r模型
图片尺寸640x361
关于c语言中e-r图的详解
图片尺寸800x574
图4- 各实总体e-r图
图片尺寸552x446
5总体概念结构e-r图
图片尺寸509x386
er图实例图文详解
图片尺寸800x473
e-r图的基础练习
图片尺寸439x372
成绩管理系统e-r图
图片尺寸467x435
er图设计实例
图片尺寸920x1302
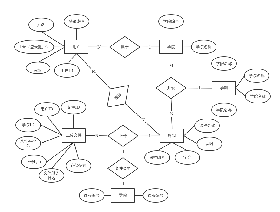
教务文件管理系统e-r图
图片尺寸997x823