恩替卡韦结构式

一种恩替卡韦的固体分散体,其药物组合物及其制备方法和药物应用
图片尺寸537x402
一种恩替卡韦一水合物的工业化生产工艺
图片尺寸1757x2490
8-羟基恩替卡韦结构式
图片尺寸605x375
恩替卡韦
图片尺寸651x359
一种恩替卡韦一水合物的工业化生产工艺
图片尺寸1721x2571
恩替卡韦
图片尺寸365x365
4-epi-恩替卡韦 结构式
图片尺寸302x270
恩替卡韦
图片尺寸1153x950
恩替卡韦
图片尺寸634x384
cas号:209216-23-9-恩替卡韦一水合物
图片尺寸1160x957
恩替卡韦杂质ssr结构式图片
图片尺寸605x375
恩替卡韦
图片尺寸191x142
恩替卡韦中间体n4结构式
图片尺寸605x375
3-epi-恩替卡韦结构式图片|1367369-77-4结构式图片
图片尺寸605x375
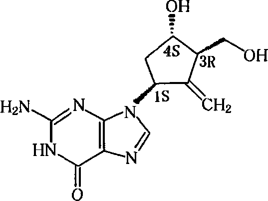
恩替卡韦,结构式如下式i,化学名称为2-氨基-1,9-二氢-9-[(1s,3r,4s)-4
图片尺寸376x323
恩替卡韦 中间体-3结构式图片|110567-22-1结构式图片
图片尺寸605x375
恩替卡韦杂质ssr结构式图片
图片尺寸605x375
恩替卡韦杂质a结构式
图片尺寸605x375
1795791-10-4 恩替卡韦ep杂质c 结构式图片
图片尺寸250x250
肝硬化,再多的恩替卡韦,都不如这个好用!
图片尺寸2164x1620