恩诺沙星结构式

恩诺沙星结构式
图片尺寸365x365
盐酸恩诺沙星
图片尺寸600x600
恩诺沙星
图片尺寸640x640
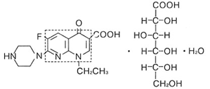
乳酸恩诺沙星的结构式
图片尺寸359x247
恩诺沙星, 93106-60-6, 结构式
图片尺寸402x208
诺氟沙星|norfloxacin|70458-96-7|adamas|99%|rg|100g
图片尺寸1284x724
恩诺沙星 立体结构式图
图片尺寸308x225
恩氟沙星结构式
图片尺寸407x206
盐酸恩诺沙星
图片尺寸208x135
恩诺沙星盐酸盐-同位素 , 分析标准品
图片尺寸672x446
34212-94-7([(1s)-7α-ethenyl-1,2,3,4,4a
图片尺寸447x290
诺氟沙星
图片尺寸1080x810
盐酸恩诺沙星可溶性粉 98%禽药畜药水产鱼药虾药猪药鸡药兽用药剂
图片尺寸1500x1500
154357-42-3/左氧那地沙星中英文名/分子式/结构式 – 960化工网
图片尺寸605x375
cas:511-36-4|的分子结构
图片尺寸769x381
兽药兽用恩诺沙星注射液猪牛羊猫狗拉稀咳喘肺炎肠胃炎痢疾1盒价
图片尺寸750x976![3-[(4-benzhydrylpiperazin-1-yl)carbonyl]-5-thi](https://i.ecywang.com/upload/1/img1.baidu.com/it/u=1533314560,2885678737&fm=253&fmt=auto&app=138&f=GIF?w=468&h=344)
3-[(4-benzhydrylpiperazin-1-yl)carbonyl]-5-thi
图片尺寸468x344
p>葡萄糖酸依诺沙星注射液,适应症为适用于由敏感菌引起的:1.
图片尺寸416x177
02天津保灵 恩诺沙星片
图片尺寸1080x1080
氧氟沙星|ofloxacin|82419-36-1|adamas|98% |rg|100g
图片尺寸1300x677