想象力的作文

想象作文之想象力的作文.doc 13页
图片尺寸860x1218
小学想象力作文我是一只老虎
图片尺寸920x1302
想象作文之想象力的作文.doc 13页
图片尺寸860x1218
有关想象力的作文.doc
图片尺寸993x1404
三年级作文想象力作文健步如飞的蜗牛
图片尺寸1080x1440
想象作文之充满想象力童话作文docx4页
图片尺寸860x1218
二年级300字想象力作文
图片尺寸920x1302
小学想象力作文假如我是一朵云
图片尺寸920x1302
想象作文之充满想象力童话作文docx4页
图片尺寸860x1218
以不要伤害孩子想象力为题作文.doc
图片尺寸794x1123
三年级作文——想象力作文《未来的房子》
图片尺寸960x1280
想象力的作文 【篇一:想象作文】 "想象作文"一类是童话式想象作文.
图片尺寸496x702
小学生作文想象力培养初探
图片尺寸920x1302
未来的海洋想象作文
图片尺寸992x1403
关于2020想象力的作文想象力
图片尺寸920x1302
三年级作文——想象力作文《健步如飞的蜗牛》
图片尺寸960x1280
想象作文可以发挥自己的想象力,可以无所顾忌,让我们生活中的很多不
图片尺寸496x702
小学生想象力作文三篇20210509091209
图片尺寸920x1301
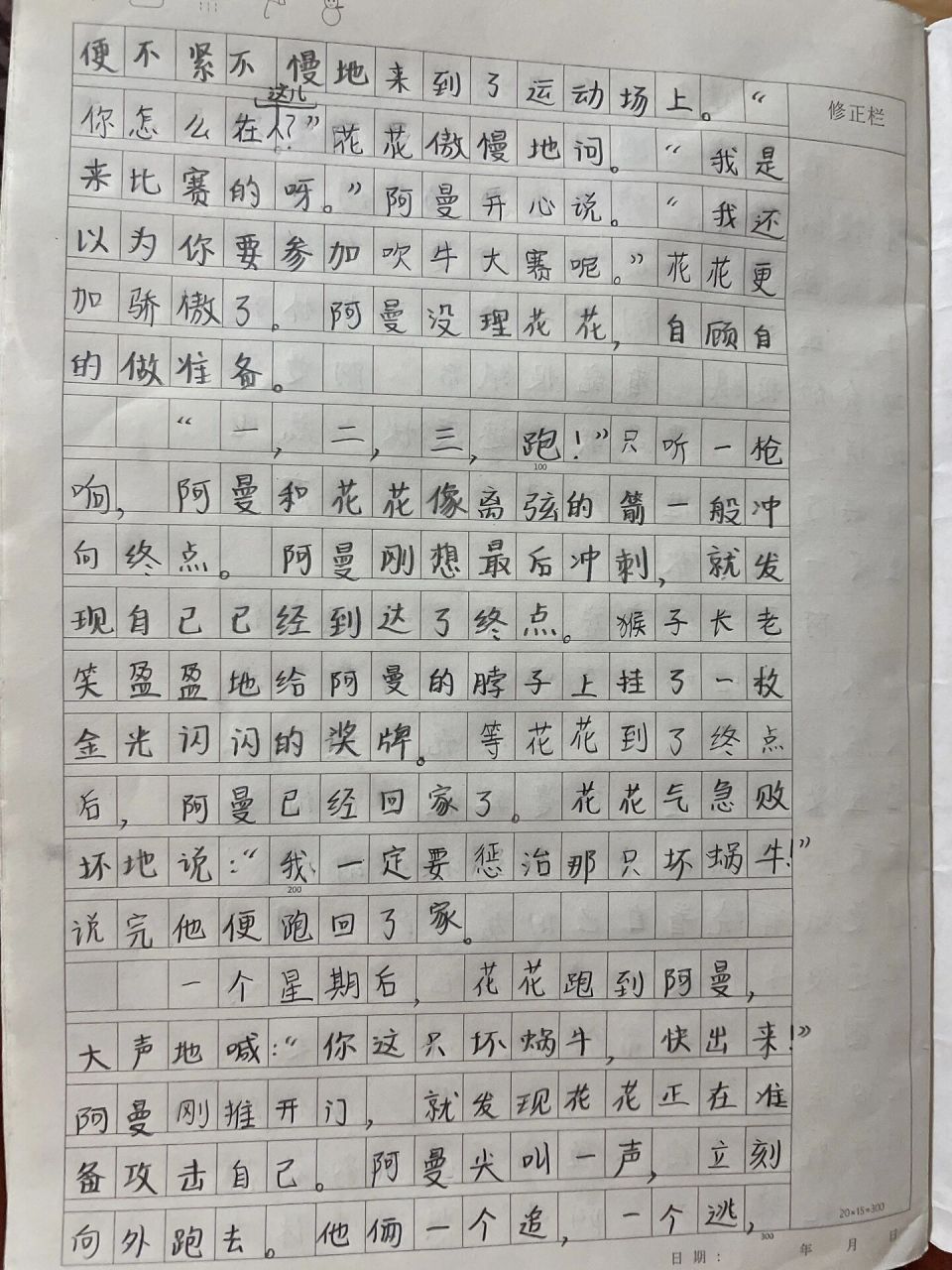
想象作文
图片尺寸1728x2304
"我的作文里就有一条会飞的鱼,它就有丰富的想象力.
图片尺寸496x702