手嶌葵therose简谱

介绍一下手嶌葵 这个女歌手
图片尺寸719x550
这个夏天,日本国民级女歌手-手嶌葵为你献上天籁治愈之音_the
图片尺寸1080x893
手嶌葵therose独奏谱
图片尺寸2381x3367
【nancy吉他教学】the rose 手嶌葵 西城 吉他弹唱教程 南音吉他小屋
图片尺寸2304x1440
日本女歌手手嶌葵therose人美歌甜没想到却是翻唱
图片尺寸1280x720
music手嶌葵出道十五周年纪念专辑
图片尺寸500x500
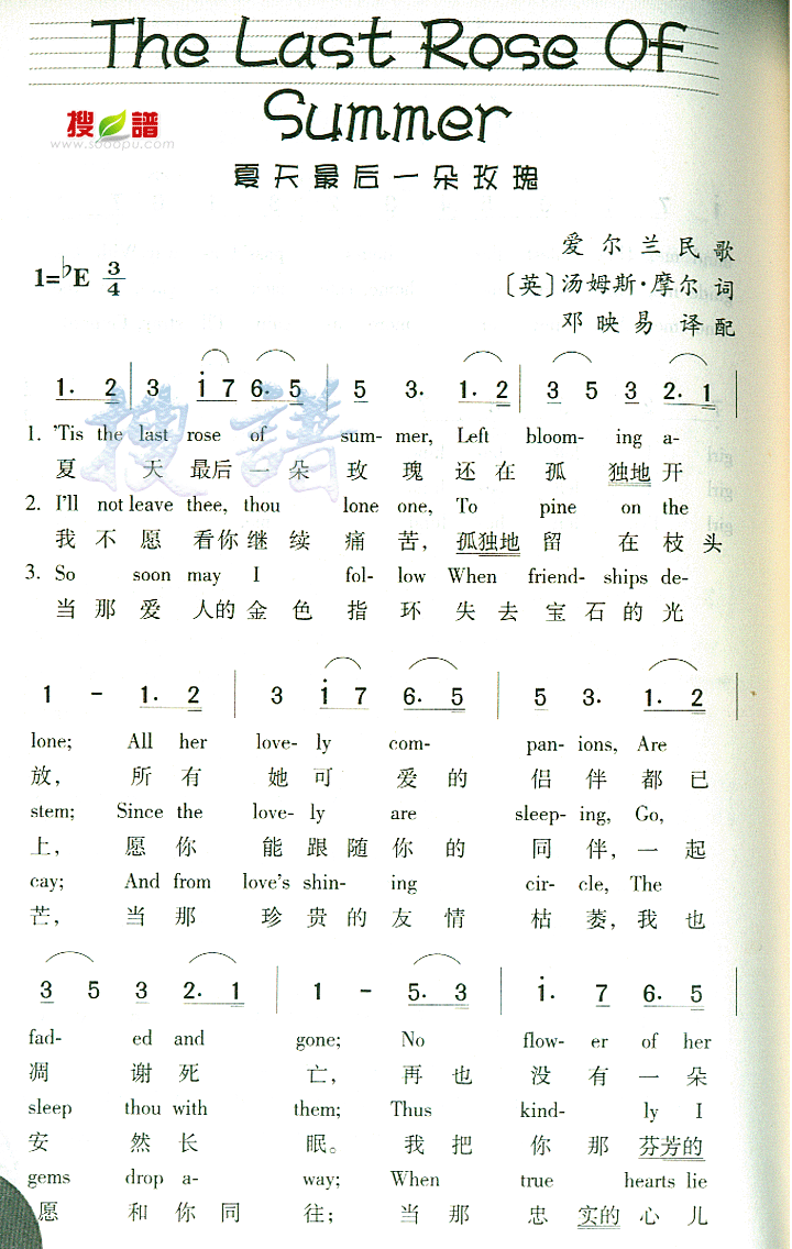
the last rose of summer(夏天最后一朵玫瑰)
图片尺寸700x1023
2019手嶌葵上海演唱会(时间 地点 门票)
图片尺寸600x400
经典英文老歌《the rose》,手嶌葵翻唱真经典
图片尺寸640x640
手嶌葵《the rose》最近一直都在听这个,好久没有找吉他 - 抖音
图片尺寸850x1200
手嶌葵图片_百度百科
图片尺寸520x520
therose金佑星takemedown
图片尺寸1478x925
触及灵魂的魔音,日本女歌手手嶌葵《the rose》纯净的天籁之音
图片尺寸1280x720
新年茶礼inmethetigersniffstherose
图片尺寸1080x1440
《the rose》手嶌葵
图片尺寸1080x1121
手嶌葵therose弹唱谱
图片尺寸2381x3367
>> >> 未知 >>the last rose of summer
图片尺寸720x1136
【美】thelastroesofsummer夏日里最后一支玫瑰,带和弦简谱
图片尺寸700x1090
收藏夹里的小众乐队therose夏日海岸的烟火
图片尺寸800x800
the rose钢琴谱 手嶌葵-治愈系满满,心怀玫瑰,聆听天籁之音-简谱网
图片尺寸1080x1529