托法替布结构

托法替布杂质结构式
图片尺寸605x375
托法替布片剂及其制备方法专利_专利申请于2015-03-05_专利查询
图片尺寸448x210
一种托法替布中间体的制备方法技术
图片尺寸1000x366
式(v)所示的化合物经选择性脱保护合成结构式(vi)所示的化合物162苄
图片尺寸1000x372
托法替尼结构式图片|477600-75-2结构式图片
图片尺寸605x375![[0004][0003] 枸橼酸托法替布结构中含有c3与c4两个手性中心,其中文](https://i.ecywang.com/upload/1/img2.baidu.com/it/u=1310112370,2542105531&fm=253&fmt=auto&app=138&f=JPEG?w=932&h=500)
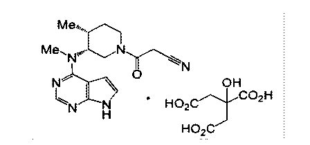
[0004][0003] 枸橼酸托法替布结构中含有c3与c4两个手性中心,其中文
图片尺寸992x532
枸橼酸托法替布的新型制备方法
图片尺寸1000x463
一种枸橼酸托法替布杂质及其分析方法和应用_cn201910693335.9_知雀网
图片尺寸648x469
一种枸橼酸托法替布的合成方法与流程
图片尺寸615x211
托法替尼
图片尺寸360x360![[0003] 其结构如下所示:[0002] 枸橡酸托法替布(tofacitinib citrate)](https://i.ecywang.com/upload/1/img0.baidu.com/it/u=692826734,1546324573&fm=253&fmt=auto&app=138&f=JPEG?w=1300&h=485)
[0003] 其结构如下所示:[0002] 枸橡酸托法替布(tofacitinib citrate)
图片尺寸1300x485
托法替尼/托法替布对指甲型银屑病疗效好吗?
图片尺寸716x533
宁必妥 枸橼酸托法替布片 5mg*14片*2板
图片尺寸380x380
科乐嘉 枸橼酸托法替布片 5mg*28片 1盒【图片 价格 品牌 报价】-京东
图片尺寸790x991
托法替尼n-羟基杂质, 2459302-76-0, 结构式
图片尺寸310x248
托法替尼 杂质 k结构式
图片尺寸605x375
齐鲁捷维枸橼酸托法替布片5mg28片盒1盒装
图片尺寸800x800
艾捷维枸橼酸托法替布片5mg28片
图片尺寸500x500
3 分钟读懂托法替布治疗类风湿关节炎的机制
图片尺寸640x513
托法替尼什么价格托法替尼多少钱
图片尺寸580x580