拉尔森效应
图片尺寸2048x2048
第20篇:罗森塔尔效应,期望产生动力.中国式教育,大多是批评
图片尺寸1440x1920
🌟罗森塔尔效应:赞美与期待的力量🌟
图片尺寸991x1269
停止色情以保留性能量
图片尺寸1367x2048
罗森塔尔效应:期望的力量
图片尺寸1080x1410
②孩子的问题,让自见看你己
图片尺寸1080x1620
❤️首因效应❤️不要印象流
图片尺寸750x1000
罗森塔尔效应:教师期望如何影响学生表现?
图片尺寸900x1200
丁达尔效应(tyndall effect),也叫"丁达尔现象
图片尺寸1440x2524
人与人总是制造许多的分裂, 人们不相信人也是分裂
图片尺寸601x518
达克效应及对应的故事: 达克效应:越无知越
图片尺寸1124x1292
这是让"蝴蝶效应"这个词家喻户晓的源头
图片尺寸1280x959
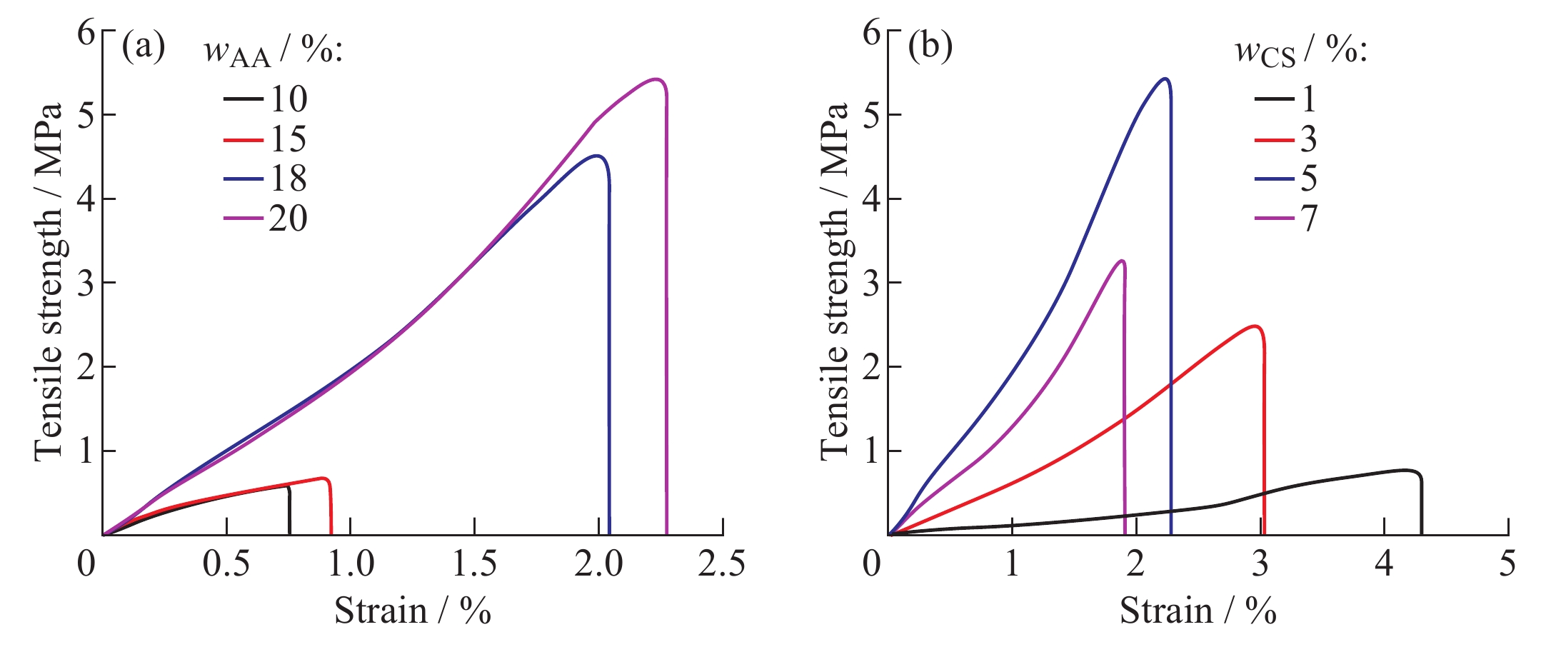
and w(b) on the tensile strength of hydrogel
图片尺寸2165x906
霍尔效应:从基础到应用的奇妙之旅
图片尺寸641x500
伤害你的不是现实的客观世界, 而是你对现实世界的主观认知
图片尺寸1148x1529
什么,最终与心理投射相关的图片隐秘心理图片神秘寃與超心理近因效应
图片尺寸1179x1248
宇宙最强磁场留下的印记
图片尺寸660x660
复旦新发现!霍尔效应第三阶
图片尺寸685x552
女性慕强其实是选择有钱有能力
图片尺寸2048x1846
达克效应
图片尺寸680x441