拉格朗日余项

泰勒公式的拉格朗日余项的§最后怎么写出来,,就是怎么用x来表达
图片尺寸819x498
a—8(5)函数展开幂级数ppt
图片尺寸1080x810
最后一行最后那个拉格朗日余项那个式子为什么这么写啊?
图片尺寸714x470
泰勒公式详细推导过程泰勒公式拉格朗日余项
图片尺寸1289x2231
y=sinx的带有拉格朗日型余项的n阶麦克劳林公式?
图片尺寸679x354
下图中拉格朗日余项如何得到的?
图片尺寸620x550
泰勒公式的拉格朗日余项怎么理解
图片尺寸720x546
030503 拉格朗日余项
图片尺寸448x252
求高数大神帮助写下(1 x)的α次方的四阶带拉格朗日型余项怎么写
图片尺寸576x1024
数学文化题第124题-拉格朗日余项
图片尺寸641x547
泰勒公式的拉格朗日余项怎么理解
图片尺寸720x540
泰勒展开的拉格朗日型余项公式的应用举例
图片尺寸1280x2271
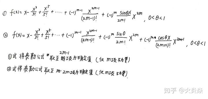
为什么sinx的麦克劳林展开式中的拉格朗日型余项直接就是奇数项公式
图片尺寸720x345
2.2带拉格朗日余项的泰勒公式
图片尺寸612x507
求f(x)=sinx的带有拉格朗日型余项的n阶麦克劳林公式
图片尺寸500x271
求高数大神帮助写下(1 x)的α次方的四阶带拉格朗日型余项怎么写
图片尺寸450x800
求高数大神帮助写下(1 x)的α次方的四阶带拉格朗日型余项怎么写
图片尺寸450x800
为什么sinx的麦克劳林展开式中的拉格朗日型余项直接就是奇数项公式?
图片尺寸2388x1587
写出fx的带拉格朗日余项的麦克劳林公式
图片尺寸1080x750
带皮亚诺余项和拉格朗日余项的泰勒公式 部分初等函数的麦克劳林公式
图片尺寸864x428