拉格朗日量

标准模型的拉格朗日量
图片尺寸600x1056
自然是标准模型的拉格朗日量了.
图片尺寸720x942
标准模型的拉格朗日量
图片尺寸600x729
感受到 拉格朗日量标准模型的压迫感
图片尺寸1728x1080
数学中有哪些最复杂的领域或最抽象的领域,复杂或抽象到什么程度?
图片尺寸564x945
拉格朗日量哈密顿量及变分原理
图片尺寸388x480
拉格朗日量
图片尺寸200x249
大学生理工专题导读--拉格朗日量和哈密顿量
图片尺寸800x800
变分与拉格朗日量1背景定义和途径
图片尺寸727x544
标准模型的拉格朗日形式
图片尺寸554x367
十二大物理学定律(2)拉格朗日量
图片尺寸579x550
力学外传拉格朗日的讨论会
图片尺寸641x264
简说拉格朗日乘数法
图片尺寸662x462
自然规律的简单性
图片尺寸1362x794
主编点评|你可以不懂这些方程的涵义,但你一定要明白它们有多美
图片尺寸748x555
贝叶斯-批判自然哲学61p(凸优化|拉格朗日量)
图片尺寸867x542
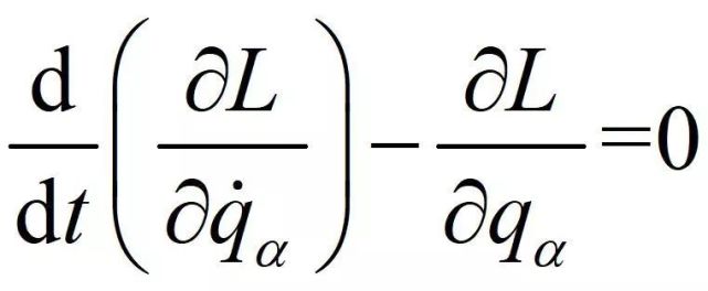
结合虚功原理和变分法,推导出一个非常重要的物理学方程:拉格朗日方程
图片尺寸402x371
拉格朗日量哈密顿量及变分原理
图片尺寸302x336
第1章拉格朗日量习题参考答案
图片尺寸778x750
拉格朗日方程
图片尺寸1080x810