拜占庭将军问题

拜占庭将军问题
图片尺寸1319x1198
如何理解拜占庭将军问题
图片尺寸500x402
拜占庭将军问题thebyzantinegeneralsproblem
图片尺寸600x513
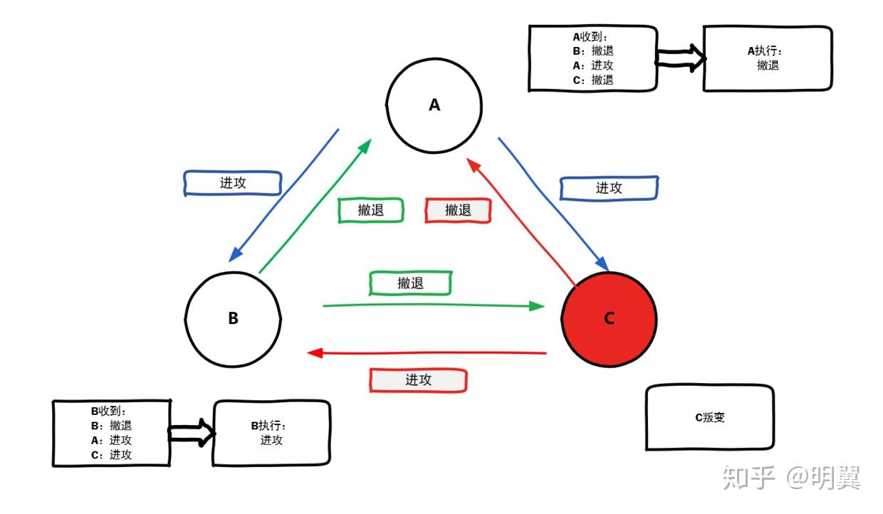
一文读懂拜占庭将军问题
图片尺寸1080x655
拜占庭将军问题(byzantine generals problem),一个关于分布式系统
图片尺寸1147x577
拜占庭将军问题
图片尺寸1142x588
比特币挖矿究竟在挖什么:从拜占庭将军问题谈起
图片尺寸818x664
区块链三之拜占庭将军问题
图片尺寸690x448
拜占庭将军问题
图片尺寸476x300
可信计算vii:拜占庭将军问题
图片尺寸647x235
分布式协调之拜占庭将军问题
图片尺寸700x456
拜占庭将军问题(二)——口头协议
图片尺寸650x366
弱中止条件下的拜占庭将军问题
图片尺寸586x450
拜占庭将军问题#奇奇怪怪的知识又增加了
图片尺寸1080x810
什么是拜占庭将军问题?
图片尺寸3989x2243
每日科普#【拜占庭将军问题是什么?区块链如何防范恶意节点?
图片尺寸1919x1067
如何理解拜占庭将军问题
图片尺寸1156x480
拜占庭将军问题深入探讨
图片尺寸587x276
拜占庭将军问题thebyzantinegeneralsproblem
图片尺寸1200x992
分布式基础-拜占庭将军问题
图片尺寸1240x722