摆线的一拱图像

摆线x=a(t-sin t), y=a(1-cos t)的一拱, y=0, 绕直线y=2a .
图片尺寸411x225
摆线的那些事儿数学界的大型装逼事件
图片尺寸474x212
求由摆线 的一拱与 x 轴所围平面图形的面积 .
图片尺寸1080x810
数学中的摆线是什么?
图片尺寸476x402
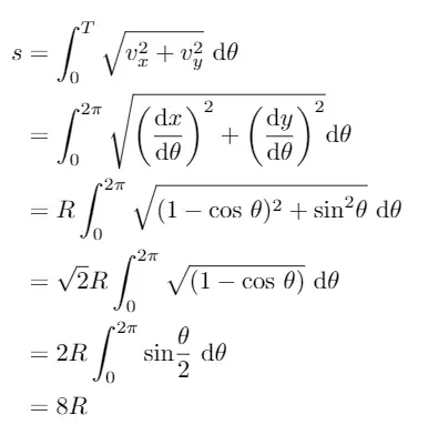
摆线弧长摆线面积摆线一拱与x轴围成的面积摆线体积四,阿基米德螺线
图片尺寸401x401
摆线形是什么形状?
图片尺寸450x138
2摆线 , 径为a(半a )的沿圆直滚动线(滑动)无, 研 究周圆上一定点
图片尺寸1080x810
高数问题:求摆线x=a(t-sint),y=a(1-cost)的一拱(0≤t≤2π)
图片尺寸1920x947
大一高数:求由摆线x=t-sinx,y=1-cost的一拱(0≤t≤2π)与x轴所围成的
图片尺寸600x181
大一高数:求由摆线x=t-sinx,y=1-cost的一拱(0≤t≤2π)与x轴所围成的
图片尺寸502x306
摆线的参数方程
图片尺寸1080x810
摆线
图片尺寸453x412
作者其他文章
图片尺寸600x400
摆线弧长摆线面积摆线一拱与x轴围成的面积摆线体积四,阿基米德螺线
图片尺寸1015x520
摆线的性质及生成摆线的matlab代码
图片尺寸640x521
高等数学 划线处的部分详细解释 过程详细 没学过摆线我连题目都看不
图片尺寸3328x1872
4 渐开线与摆线》课件ppt
图片尺寸1080x810
考研数学:这些函数图像你最好来看一看.
图片尺寸870x713
摆线的面积,拱宽均为pai有关,为什么弧长,拱高与pai没有关系? - 知乎
图片尺寸386x392
考研数学:这些函数图像你最好来看一看.
图片尺寸870x487