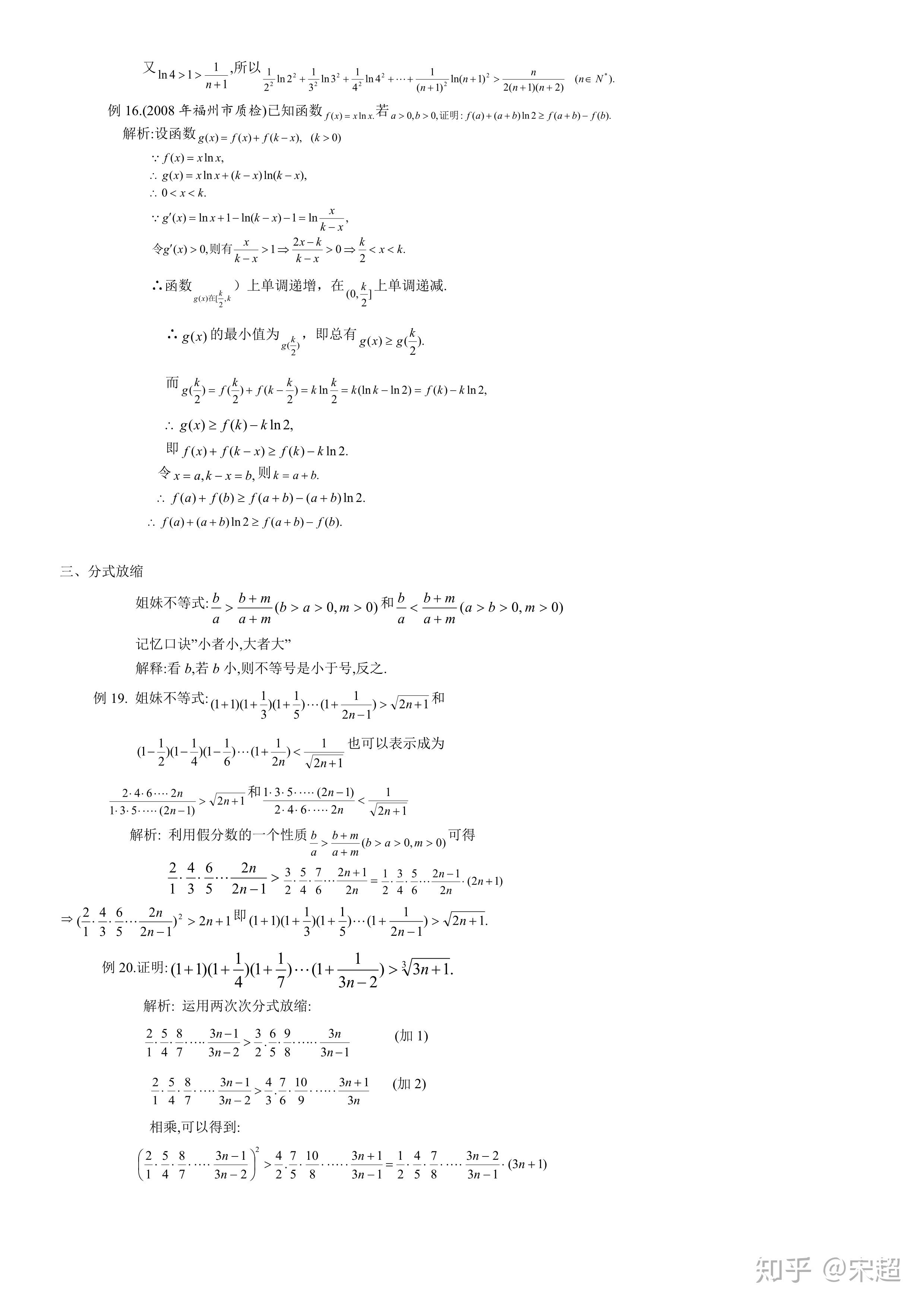
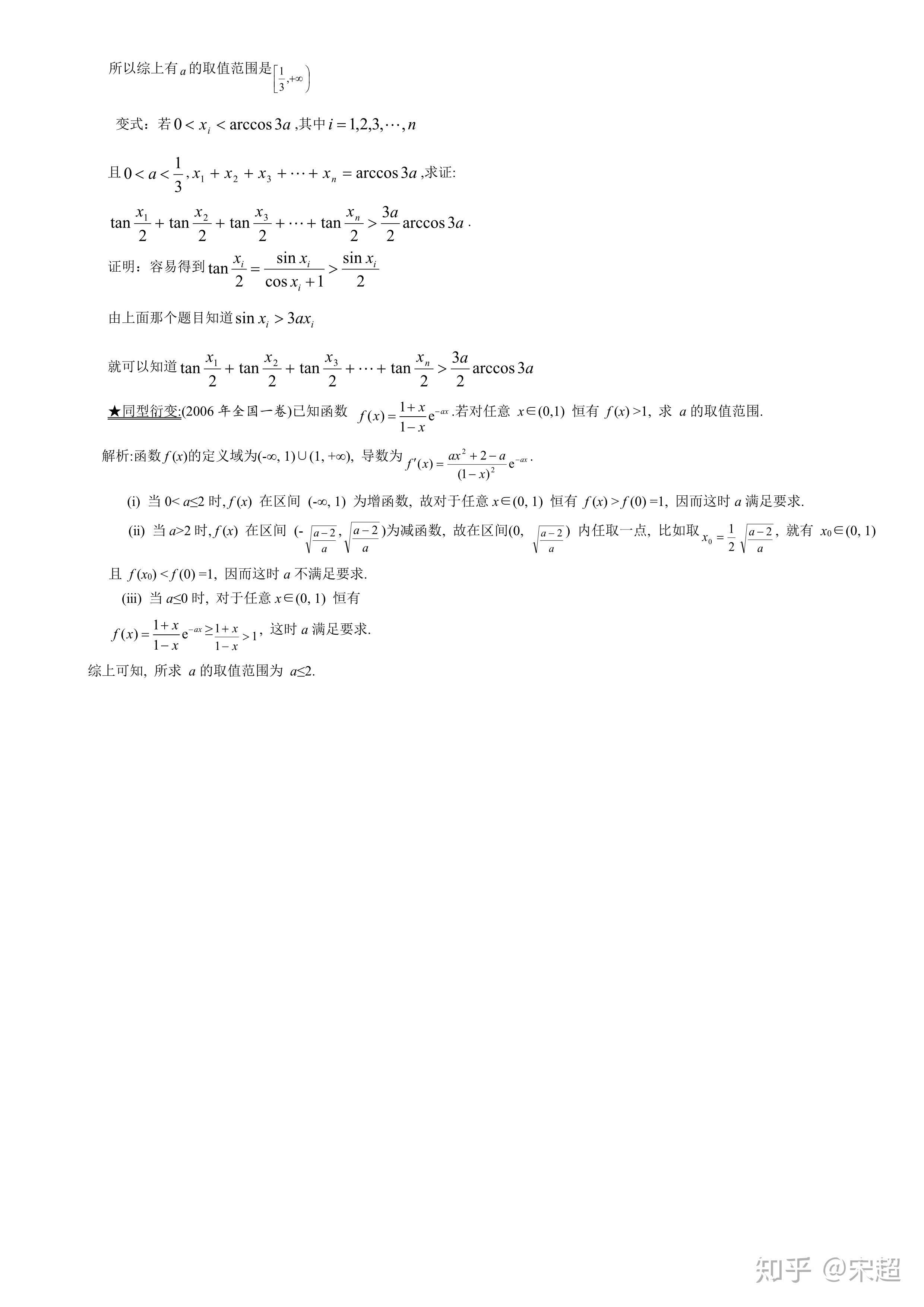
放缩法技巧全总结

高中数学放缩法技巧全总结
图片尺寸920x1302
高考数学数列放缩法技巧全总结
图片尺寸920x1302
放缩法技巧全总结doc
图片尺寸920x1303
高中数学数列放缩法技巧大全,通俗易懂步骤完整,看一遍就会了
图片尺寸640x906
高考数学数列放缩法技巧全总结doc
图片尺寸860x1216
高中数学放缩法公式.docx 3页
图片尺寸792x1120
放缩法技巧全总结
图片尺寸920x1301
高一数学数列放缩法技巧
图片尺寸920x1302
转载放缩法技巧全总结哦一
图片尺寸2480x3507
高中数学放缩法公式.docx 3页
图片尺寸792x1120
转载放缩法技巧全总结哦二
图片尺寸2480x3507
高考数学数列放缩法技巧全总结
图片尺寸920x1302
高中数学导数中最全放缩总结
图片尺寸1080x1440
证明数列不等式的等比数列放缩法
图片尺寸960x1310
1页 下一页 相关主题 你可能喜欢 放缩法证明不等式 放缩法技巧全总结
图片尺寸796x1158
转载放缩法技巧全总结哦一
图片尺寸720x1018
转载放缩法技巧全总结哦一
图片尺寸720x1018
140 必备,放缩技巧大总结!#萌知计划 #学习方法 #思维 - 抖音
图片尺寸1370x1800
转载放缩法技巧全总结哦二
图片尺寸720x1018
转载放缩法技巧全总结哦一
图片尺寸2480x3507