数列图片

学习数列的定义,你应该要知道它的意义
图片尺寸640x322
黑色背景下的蓝色数列运动轨迹
图片尺寸800x600
数学:2.1.1《数列的概念与简单表示》课件(新人教版a必修5)ppt
图片尺寸1080x810
花瓣——自然界的"斐波那契"数列
图片尺寸640x405
【数列】
图片尺寸572x700
斐波那契数列:震撼心灵的几何美学_百科文章_百度百科
图片尺寸600x509
随机数列求重杨辉三角
图片尺寸955x772
(Ⅰ)求数列 的通项公式
图片尺寸456x219
求数列的解
图片尺寸1026x244
数学文化的探究教学案例设计_数列的递推公式
图片尺寸769x569
如图2把杨辉三角左对齐排列将同一条斜线上的数字求和会得到一个数列
图片尺寸286x255
斐波那契数列初级版
图片尺寸426x193
求数列的极限 救救孩子吧!
图片尺寸3120x4160
特殊数列之等差数列与等比数列
图片尺寸428x179
数列π的不足进似值是否能构成数列百度作业帮
图片尺寸2281x2394
高中数学数列总结
图片尺寸640x360
等比数列公式大全
图片尺寸781x453
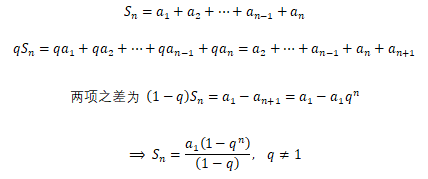
等比数列求和
图片尺寸1968x798
【高中数学】数列的基本概念与简单表示法1
图片尺寸3456x2165
高中生必会的数列常用求和公式,你会几个?
图片尺寸911x712