数列放缩法

用放缩法证明数列不等式ppt
图片尺寸1080x810
高一数学数列放缩法技巧
图片尺寸920x1302
数列放缩法
图片尺寸1838x1054
数列放缩法每日一题03
图片尺寸1920x1080
例谈放缩法证明数列型不等式的策略
图片尺寸1267x1799
高中数列放缩法归纳总结1
图片尺寸640x269
高考数学数列放缩法技巧全总结
图片尺寸920x1302
数列中的放缩法是怎么回事应该怎样解题
图片尺寸700x962
一道数列不等式压轴题的三种证明方法
图片尺寸555x533
高中数学常用函数放缩技巧 放缩法
图片尺寸960x1280
数列和式放缩研究(浙江高考) - 知乎
图片尺寸910x675
数列放缩题.
图片尺寸558x224
高中数列放缩法归纳总结1
图片尺寸640x323
数列求和的放缩方法
图片尺寸635x355
高中数学 数列与不等式综合之放缩法与经典不等式公式的理解应用
图片尺寸640x361
数列求和的放缩方法
图片尺寸498x550
高中数学--放缩法证明数列不等式
图片尺寸1920x1440
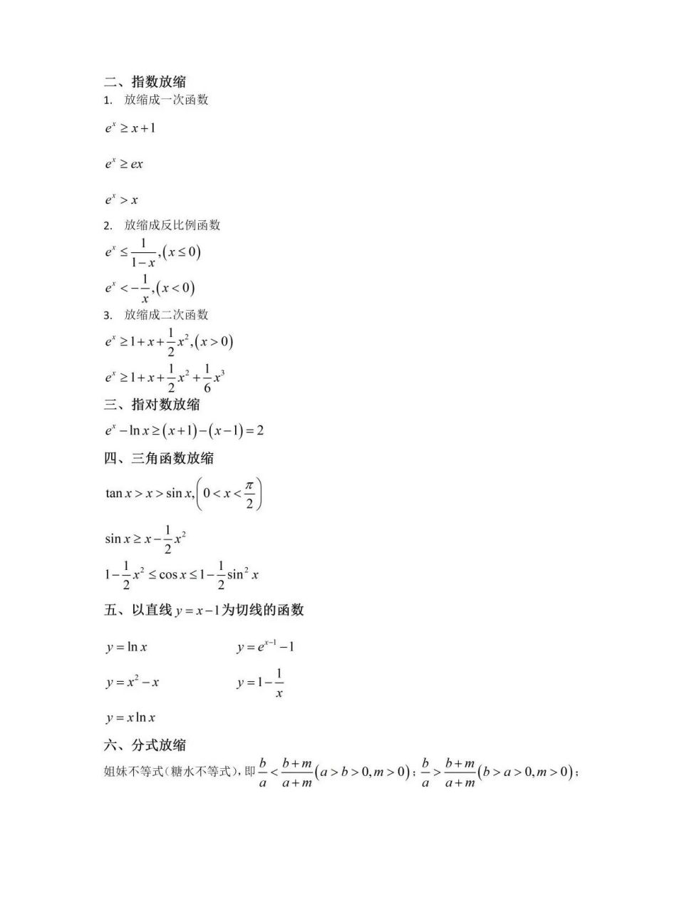
特教整理:高考数学常用放缩公式及图像,研究透轻松处理函数问题
图片尺寸640x883
n的阶乘有哪些典型的放缩方式? - 知乎
图片尺寸1536x2048
用放缩法证明数列不等式ppt
图片尺寸1080x810