数列蛛网图原理

经济学中有一种"蛛网理论",如下图,假定某种商品的"需求——价格"
图片尺寸486x375
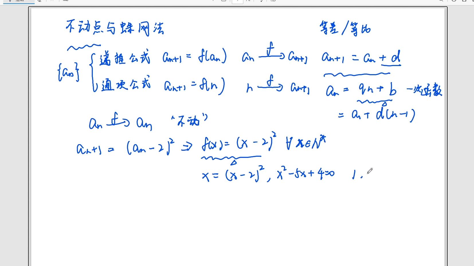
【数列拔高必看】不动点与蛛网法
图片尺寸1654x930
蛛网图,不动点系列之1:蛛网图——数列递推关系可视化的重要工具
图片尺寸1080x655
蛛网图,不动点系列之1:蛛网图——数列递推关系可视化的重要工具
图片尺寸882x760
本轮通胀抬头的原因可能是供给不足
图片尺寸965x508
蛛网图,不动点系列之1:蛛网图——数列递推关系可视化的重要工具
图片尺寸891x755
经济学中的"蛛网理论"(如图),假定某种商品的"需求-价格"函数的图象为
图片尺寸525x149
蛛网图,不动点系列之1:蛛网图——数列递推关系可视化的重要工具
图片尺寸856x770
蛛网图,不动点系列之1:蛛网图——数列递推关系可视化的重要工具
图片尺寸873x778
数列极限大杀器——蛛网图(爸爸妈妈我悟了)
图片尺寸1144x715
不动点与蛛网法——数列选填必学大招,秒杀2023北京高考压轴题-舒肤佳
图片尺寸1417x885
蛛网理论ppt
图片尺寸1080x810
origin蛛网图教程
图片尺寸1117x565
由2022届徐汇区一模题,引申到数列的不动点和蛛网迭代
图片尺寸640x339
利用蛛网图解决数列迭代小题
图片尺寸1278x718
108.「数列」蛛网图和圆锥曲线结合的数列放缩问题
图片尺寸960x720
第五章数列思维导图错题
图片尺寸1080x1439
数列蛛网法解题思路的探讨
图片尺寸640x679
等差数列的前n项和ppt
图片尺寸920x690
数列知识结构图
图片尺寸920x1302