数学分析笔记

数学分析考研笔记华东第五版
图片尺寸1402x2048
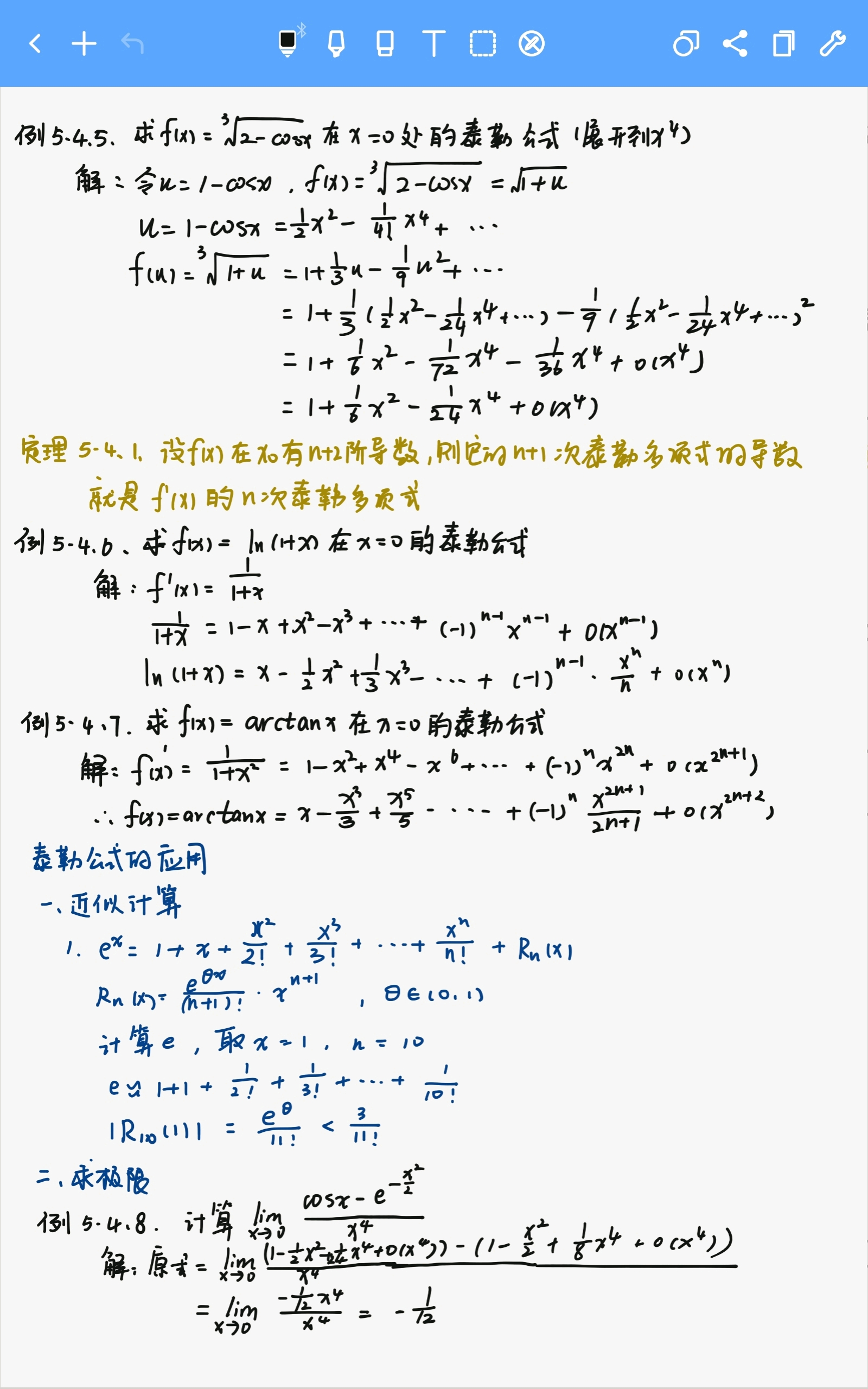
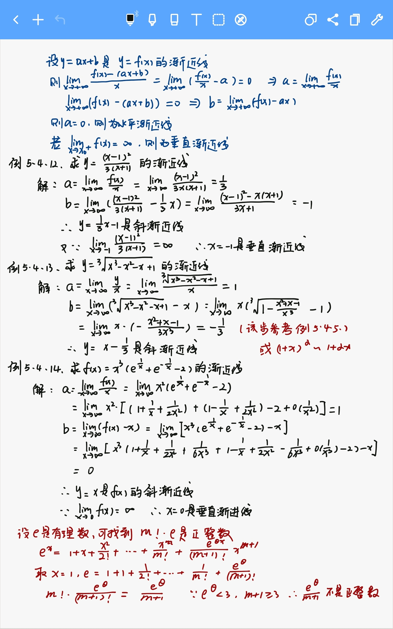
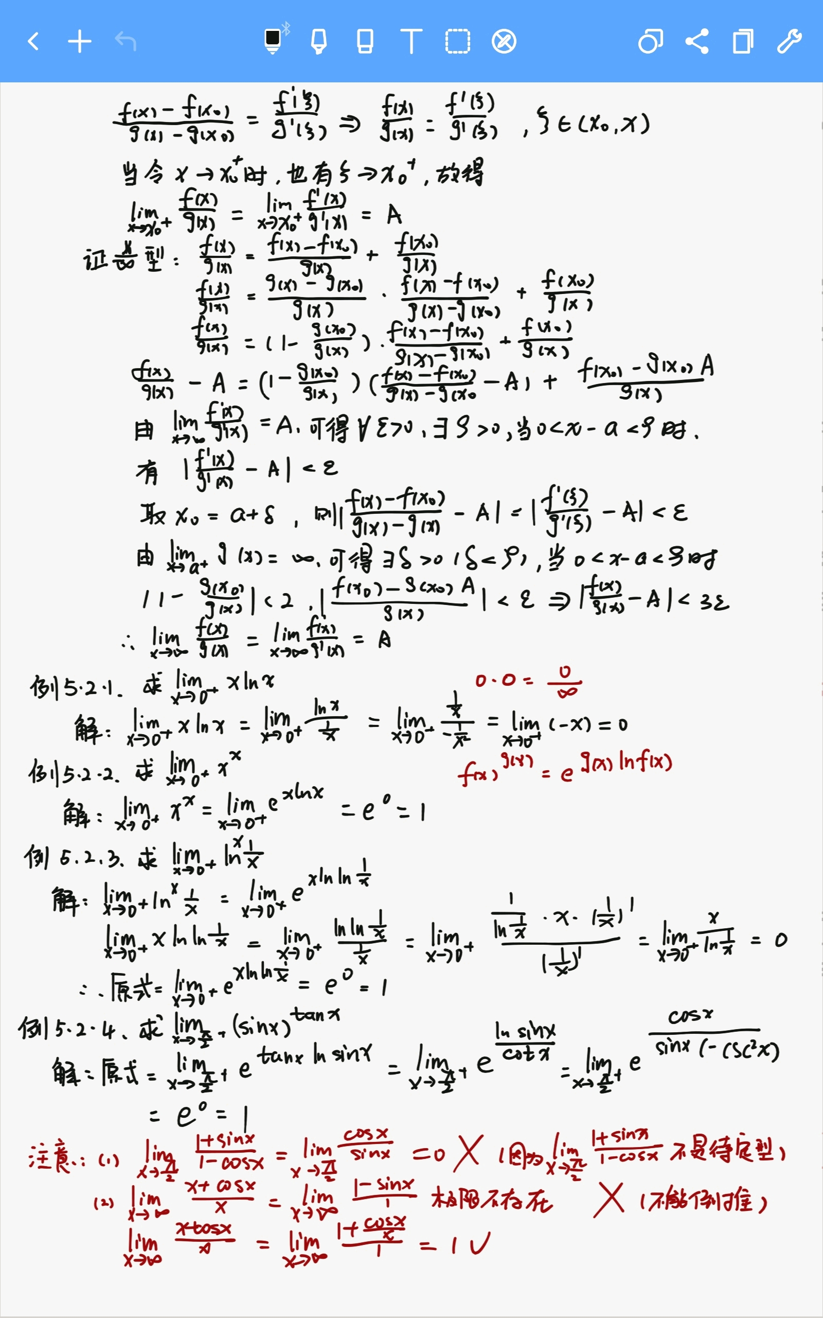
数学分析笔记—第五章—微分中值定理及其应用
图片尺寸1600x2560
数学分析笔记第一章函数
图片尺寸3893x5568
大一数学分析笔记自取
图片尺寸1536x2048
数学分析第五章导数和微分笔记
图片尺寸1080x1439
数学分析笔记—第五章—微分中值定理及其应用
图片尺寸1600x2560
数学分析笔记—第六章—不定积分
图片尺寸1600x2560
大一数学分析笔记自取
图片尺寸1536x2048
数学分析笔记—第五章—微分中值定理及其应用
图片尺寸1600x2560
22考研数学分析手写笔记~知识点部分不知不觉已经进入八月了时间不多
图片尺寸1080x1439
数学分析笔记—第五章—微分中值定理及其应用
图片尺寸1600x2560
数学分析笔记下册部分
图片尺寸1399x2048
数学分析笔记—第五章—微分中值定理及其应用
图片尺寸1600x2560
数学分析笔记—第五章—微分中值定理及其应用
图片尺寸1600x2560
数学分析笔记—第六章—不定积分
图片尺寸1600x2560
数学分析笔记—第五章—微分中值定理及其应用
图片尺寸1600x2560
数学分析最佳笔记一起来感受学习的快乐吧
图片尺寸1080x899
数学分析笔记第一章函数
图片尺寸3949x5501
数学分析笔记下册部分
图片尺寸1385x2048
数学分析笔记—第六章—不定积分
图片尺寸1600x2560