数学壁纸 电脑

微分方程是数学中非常重要的一个分支,它用于描述自然界中的各种现象
图片尺寸1920x1280
为什么数学能用来解释宇宙?
图片尺寸2048x1365
高一上册数学知识点归纳总结_函数_行列式_值域
图片尺寸4300x2867
科学数学化学方程式照片摄影图片
图片尺寸1600x900
高一数学每日一题1
图片尺寸2048x1280
金榜题名,心想事成! 努力就有收获!加油.
图片尺寸2288x1617
十个诺贝尔奖,六个数学界最高奖项——菲尔兹奖.
图片尺寸3600x2080
数学是宇宙的通用语言吗?
图片尺寸3414x1920
电脑壁纸 手绘 艺术壁纸 数学计算公式
图片尺寸3840x2560
4k黑板粉笔字公式数学学生时代背景数学背景
图片尺寸1280x720
北京电影学院发了一篇满是数学公式的计算机顶会论文,并开源了其代码
图片尺寸1440x959
绍兴四年级语文提高成绩-久发学习网
图片尺寸3000x2000
瞧这些壁纸,将数学的美与艺术完美结合,为你的手机或电脑桌面带来别样
图片尺寸2560x1440
电脑壁纸 手绘 艺术壁纸 数学计算公式
图片尺寸3840x2560
电脑壁纸 手绘 艺术壁纸 数学计算公式
图片尺寸3840x2560
首页- 王府云平台
图片尺寸5472x3480
高等数学 对弧长的曲线积分
图片尺寸3044x1903
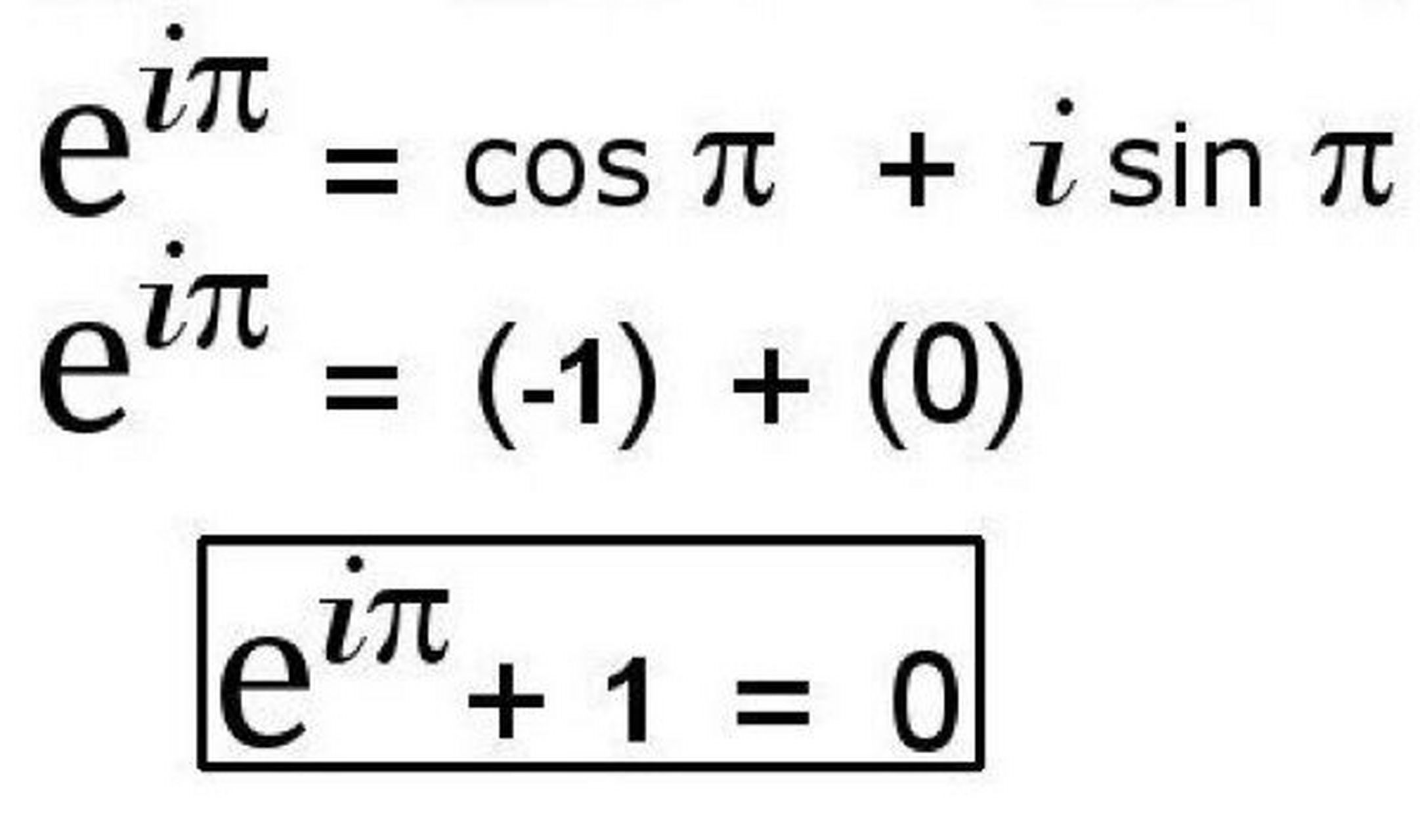
宇宙第一公式 欧拉公式对于学习数学的人来说都不会陌生,他被数学家们
图片尺寸2163x1280
你有没有一些与数学知识有关的壁纸? - 知乎
图片尺寸1080x720
电脑壁纸 手绘 艺术壁纸 数学计算公式
图片尺寸3840x2560