数学辅助角公式

在数学的浩渺星空中,辅助角公式宛如一颗璀璨的明珠.
图片尺寸1220x1770
03 辅助角公式 三角恒等变换 高中数学
图片尺寸853x480
辅助角公式大全
图片尺寸920x1302
69 辅助角公式全解读
图片尺寸1920x1080
三角函数辅助角公式
图片尺寸640x256
考点5 辅助角公式
图片尺寸640x650
两角和差的正余弦正切公式---辅助角公式.ppt
图片尺寸800x600
辅助角公式3
图片尺寸920x1302
高中数学,三角函数辅助角公式有上面这个?我只知道下面的…有图
图片尺寸600x677
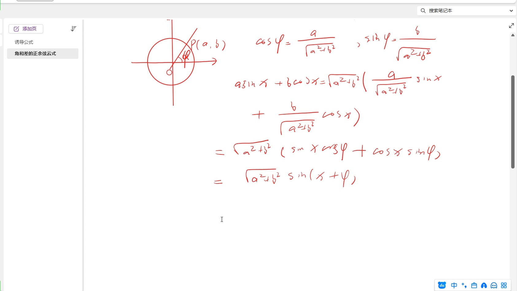
辅助角公式的推导及应用
图片尺寸1684x948
关于辅助角公式
图片尺寸800x1132
三角函数的辅助角公式共3页
图片尺寸920x1302
三角函数辅助角公式
图片尺寸640x256
辅助角公式讲义 高一上学期数学人教a版(2019)必修第一册
图片尺寸1240x1753
展开全部 辅助角公式
图片尺寸540x577
辅助角公式介绍
图片尺寸920x1302
辅助角公式的推导
图片尺寸920x1302
b2 令 b sin 无忧文档 所有分类 高中教育 数学 辅助角公式
图片尺寸1080x810
1辅助角公式及证明 - 知乎
图片尺寸720x1676
辅助角公式的推导.ppt
图片尺寸800x600