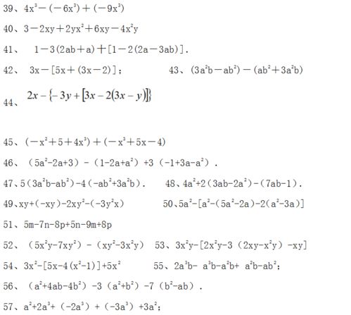
整式化简100

整式的加减化简求值专项练习100题汇编.pdf
图片尺寸860x1218
整式的加减化简专项练习
图片尺寸1080x1500
整式的化简专项练习.doc
图片尺寸993x1404
整式加减化简求值专项练习100题.doc
图片尺寸792x1120
整式加减化简求值专项练习100题.doc
图片尺寸792x1120
人版七年级数学(上册)整式化简求值60题.doc 16页
图片尺寸792x1120
整式的化简
图片尺寸1280x720
化简整数比练习一
图片尺寸800x1133
【整式的化简及求值】
图片尺寸1080x740
人教版七年级数学上册整式化简求值60题青苗教育
图片尺寸920x1302
整式的加减化简求值一docx7页
图片尺寸860x1218
整式化简求值 有悬赏
图片尺寸526x390
初一上学期,整式的化简求值题,注意书写格式
图片尺寸1206x405
课内练习_整式的化简-优质公开课-浙教7下精品
图片尺寸1080x810
初一上册整式化简求值60题含答案
图片尺寸920x1302
七年级上册整式的化简求值专题训练
图片尺寸920x1302
初一整式化简计算题100道(带答案)
图片尺寸499x447
人版七年级数学(上册)整式化简求值60题.doc 16页
图片尺寸792x1120
七年级数学整式化简求解
图片尺寸1080x607
初一数学第一学期期中考试必考整式化简求值
图片尺寸1080x1440