斐波那契图形曲线

这次,我们将斐波那契数列的应用从数据结构扩展到了曲线控制
图片尺寸1080x1410
斐波那契矩阵生成术:python中嵌套循环的极致优化
图片尺寸2046x2048
斐波那契数列,logo新设计!
图片尺寸1592x1014
斐波那契螺旋线
图片尺寸1080x1920
从斐波那契螺旋线看数学与自然的和谐之美
图片尺寸753x975
学霸不会告诉你的知识:曲线之美 斐波那契螺旋线
图片尺寸720x1280
斐波那契螺旋线
图片尺寸916x1221
斐波那契数列在自然界频率比想象的要高
图片尺寸1080x1313
斐波那契数列的前3位数字映射到一个圆
图片尺寸1014x1802
如图c语言实现斐波那契数列为何return的是n不能是i已经结束循环了i不
图片尺寸1024x1024
斐波那契螺旋新视野
图片尺寸1726x1080
斐波那契数列,一个令人着迷而又充满神秘色彩的数字序列,它以1和1作为
图片尺寸2048x1536
鹦鹉螺的斐波那契螺旋线与黄金比例
图片尺寸950x331
黄金分割数列:斐波那契数列是什么?
图片尺寸1200x675
斐波那契·黄金螺旋线
图片尺寸1580x988
斐波那契数列是历史上最著名的数列之一,于1202年由比萨的列奥纳多在
图片尺寸782x776
还有树叶中的叶脉中,昆虫翅膀中的翅脉都会发现斐波那契曲线的存在
图片尺寸600x337
公务员数字推理:斐波那契数列
图片尺寸1884x2048
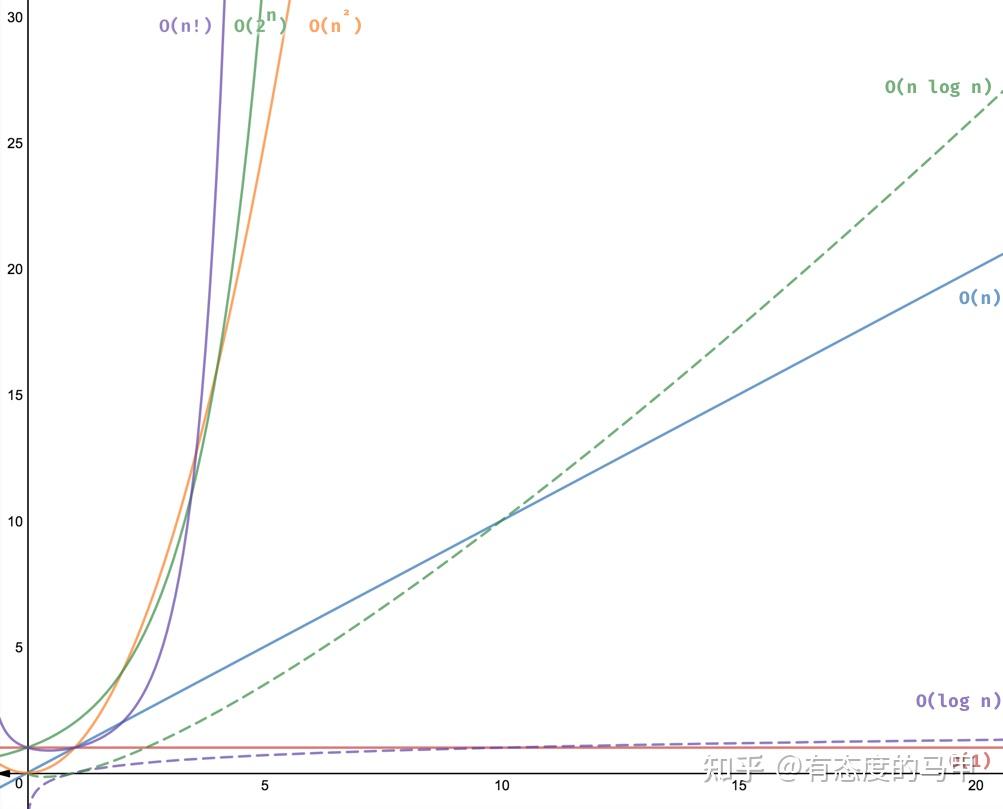
从斐波那契数列重温时间复杂度
图片尺寸1003x809
斐波那契数列之斐波那契螺线构图,堪称世界最美的曲线,符合黄金
图片尺寸1440x1080