斜渐近线

求斜渐近线. 高数.
图片尺寸450x253
y = x 2为曲线的斜渐近线 . 8
图片尺寸1080x810
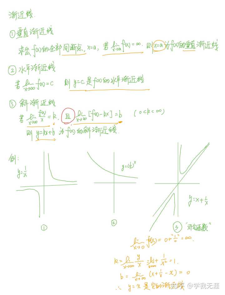
2019考研高数知识点渐近线的求法
图片尺寸394x477
斜渐近线不知道怎么求,各位能帮帮我吗?
图片尺寸720x945
追答 你们学斜渐近线吗?学的话,可以再求下斜渐近线
图片尺寸1032x581
斜渐近线不知道怎么求各位能帮帮我吗
图片尺寸2644x760
斜渐近线的斜渐近线的规范求法
图片尺寸483x389
函数作图ppt 经管类 微积分下册 王雪标 王拉娣 聂高辉 斜渐近线求法
图片尺寸1080x810
如何找到函数的斜渐近线
图片尺寸719x447
展开全部 可以求出该曲线的斜渐近线方程,具体做法可以看图片.
图片尺寸2740x1612
斜渐近线不知道怎么求各位能帮帮我吗
图片尺寸2058x982
斜渐近线,谁能介绍下?
图片尺寸403x278
函数如果有斜渐近线是不是就一定不会有水平渐近线?
图片尺寸395x234
微积分中怎样求倾斜渐近线
图片尺寸1599x899
考研数学:极限思维通俗解析水平/垂直/斜渐近线!
图片尺寸2995x1391
展开全部 解析: y=t-1/t有两条渐近线 铅直渐近线:x=0即y轴 斜渐近线
图片尺寸540x960
斜渐近线 - 百度文库
图片尺寸500x375
可以,例如:y=x^2/(1 x),就有垂直渐近线x=-1和斜渐近线y=x-1,如图
图片尺寸373x351
斜渐近线 - 百度文库
图片尺寸500x375
求函数y=(x-1)e^(π/2 arctanx)的斜渐近线
图片尺寸2592x1944