曲面积分

7第一型曲面积分的计算1ppt
图片尺寸1080x810
a11-4对面积的曲面积分
图片尺寸1080x810
三重积分曲面面积
图片尺寸678x384
计算曲面积分∫∫x2y2zdxdy,其中∑是球面x2 y2 z2=1的上半平面的上侧
图片尺寸738x604
学会曲面积分,轻松拿下高数!高数虐我千百遍,我待数学如初恋# - 抖音
图片尺寸1080x1440
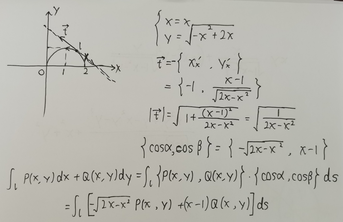
对弧长的曲线积分的概念, 性质及计算方法 (1)定义: 说明: l f x
图片尺寸1080x810
关于对面积积分,就是第一类曲面积分的一个小问题可是挺重要的
图片尺寸804x553
分类 自然科学 数学 向量值函数积分学讲座_2014 电子科大 曲面积分
图片尺寸1080x810
喜欢 曲面方程 曲面及其方程 曲面造型 自由曲面 曲面设计 曲面积分
图片尺寸642x848
第二类曲面积分ppt
图片尺寸1080x810
曲面积分高斯公式
图片尺寸3630x2511
对坐标的曲面积分
图片尺寸1590x1078
第二型线面积分(习题部分)_第二型曲面积分例题-csdn博客
图片尺寸1099x713
曲面积分 - 知乎
图片尺寸530x551
曲面积分的几何意义是什么?
图片尺寸450x211
d11_4对面积的曲面积分(new)ppt
图片尺寸1080x810
对坐标的曲面积分时,已知是外侧内侧或上侧下侧,利用高斯公式,式子前
图片尺寸960x540
一道曲面积分题,求大神详细解答
图片尺寸653x471
7-共15份-考研高等数学 教师手稿 曲线曲面积分计算 仅数一
图片尺寸2146x1517
第四节 对面积的曲面积分ppt
图片尺寸1080x810