有理数计算题加减

七年级上册有理数加减混合运算100题
图片尺寸1440x2038
七年级上册:有理数的加减法计算【答案置顶】
图片尺寸1920x2560
《有理数的加减乘除运算》专项练习 9494 有理数的计算,是七年级
图片尺寸1142x1680
七年级数学上册——有理数的加减,预习笔记.
图片尺寸960x1280
有理数加减混合运算.#有理数 #初中数学 #初一数学 #九零 - 抖音
图片尺寸1440x1862
七年级上有理数运算(加减混合运算)及答案
图片尺寸960x1280
有理数加减乘除混合运算计算题
图片尺寸1668x2224
初一数学上册有理数的混合运算练习题
图片尺寸1280x1812
新版初一数学有理数的计算加减乘除混
图片尺寸910x1386
有理数加减运算50题.有理数加减运算50题#初中数学 #数学 - 抖音
图片尺寸1587x2245
初一家长必备-有理数加减法计算
图片尺寸1242x2139
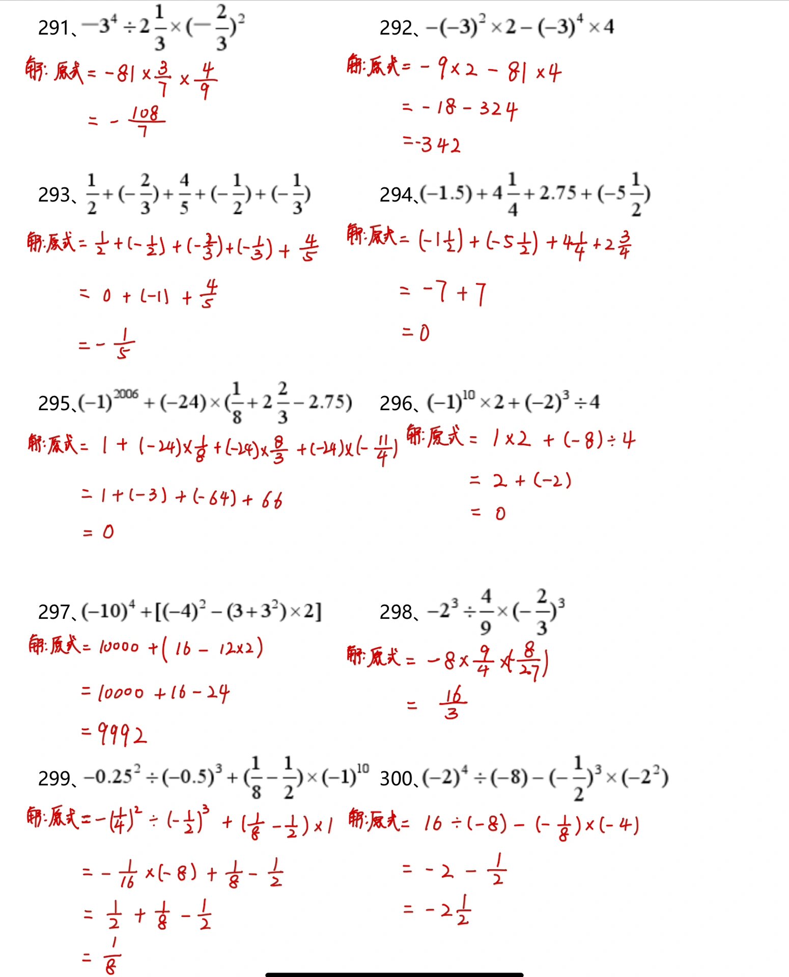
混合运算计算题 人教版七年级上册数学第一章《有理数》加减乘除乘方
图片尺寸1702x2560
七上《有理数的加减法》41道计算题
图片尺寸1920x2560
有理数加减法练习题
图片尺寸920x1300
有理数混合运算经典例题(15)
图片尺寸1550x1920
有理数加减法口算百题
图片尺寸920x1302
七上《有理数加减法》有理数的加减法,一定要按照法则去做,熟练 - 抖
图片尺寸1440x2012
已编辑有理数加减混合运算测试题卷100道
图片尺寸1240x1753
有理数加减乘除混合运算计算题
图片尺寸1206x1608
初一上册有理数加减混合计算
图片尺寸1080x1440