朱昊鲲俞敏洪

> 有没有和我一样分不清这两位的?
图片尺寸500x459
新东方创始人俞敏洪与新东方数学教师朱昊鲲展开直播对话俞敏洪表示:"
图片尺寸518x914
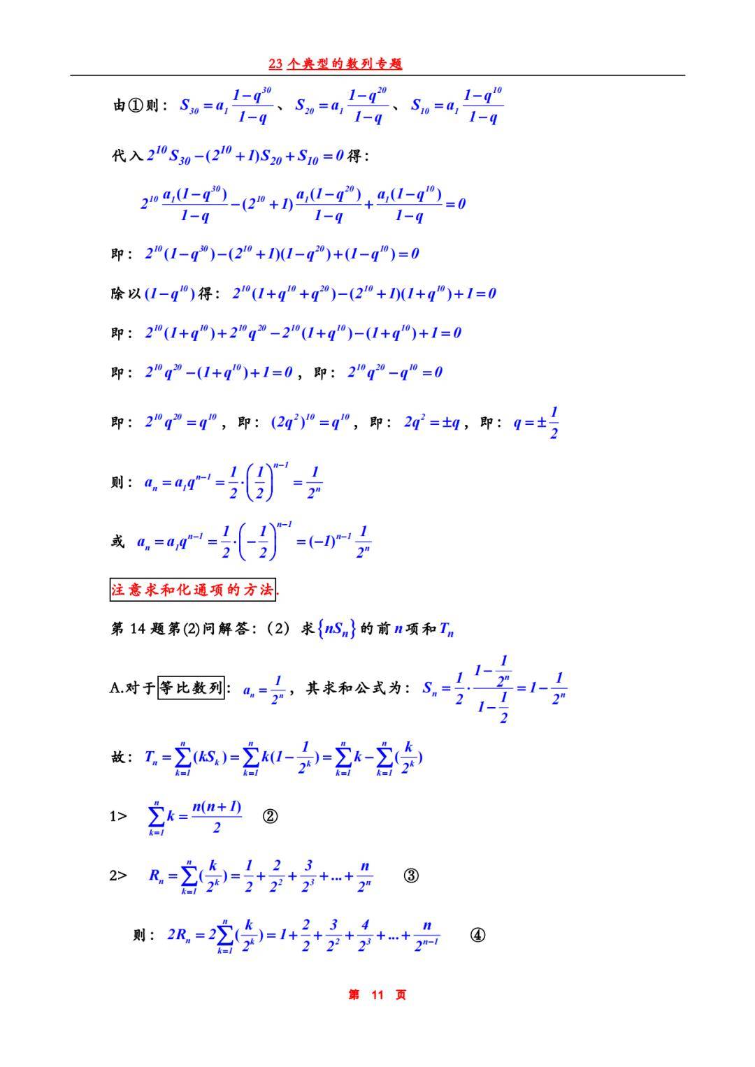
23个典型的数列专题_家长_奶奶_小偷
图片尺寸1080x1527
头条文章
图片尺寸608x405
2024朱昊鲲高考数学课本篇题目pdf电子版.pdf
图片尺寸864x480
曾志伟被女子怒揭丑闻,刘嘉玲"功不可没"_影视资讯
图片尺寸640x351
慈云山十三太保二号人物,叱咤黑道20年后,改邪归正
图片尺寸640x426
朱昊鲲让很多人都考上了专科"
图片尺寸810x607
"因为朱昊鲲 考上了大专"
图片尺寸858x607
亲兄弟不同命:一个事业成功幸福8年,一个自毁前程儿子改名换姓
图片尺寸500x316
2024新数学真题全刷决胜800题新版朱昊鲲全国文理科通用
图片尺寸350x350
"因为朱昊鲲 复读了一年"
图片尺寸810x607
"朱昊鲲到底害了多少高中学生"
图片尺寸810x607
新东方2024新版朱昊鲲40篇疾风篇新文科理科数学讲义真题坤哥高中数学
图片尺寸350x350
给时光以生命而不是给生命以时光
图片尺寸1080x1439
2,我过的桥比你走的路都多,那是我懒得动;我吃
图片尺寸440x494
谈一谈朱昊鲲塌房事件
图片尺寸810x607
"跟朱昊鲲等于复读"
图片尺寸563x750
哪个厉害?
图片尺寸600x346
老爸锒铛入狱,今他还花252亿在香港买地,原其家族坐拥3千亿资产
图片尺寸400x437