极大连通子图

这个的极大连通子图是什么?
图片尺寸378x504
免费文档 所有分类 图的应用(简约)ppt 5,连通图和最大连通子图 对于
图片尺寸1080x810
极大平面图(n>3)是3-连通图 - 知乎
图片尺寸803x382
极大平面图(n>3)是3-连通图 - 知乎
图片尺寸773x460
一图搞清楚(非)(强)连通图中的极大(小)(强)连通子图
图片尺寸613x293
什么是极大强连通子图?
图片尺寸618x858
20210719极大连通子图与极小连通子图
图片尺寸3264x2448
数据结构与算法极大连通子图极小连通子图一次性解决
图片尺寸2700x1176
图例:连通分量:无向图中的极大连通子图连通图:在无向图g中,假设图中
图片尺寸572x333
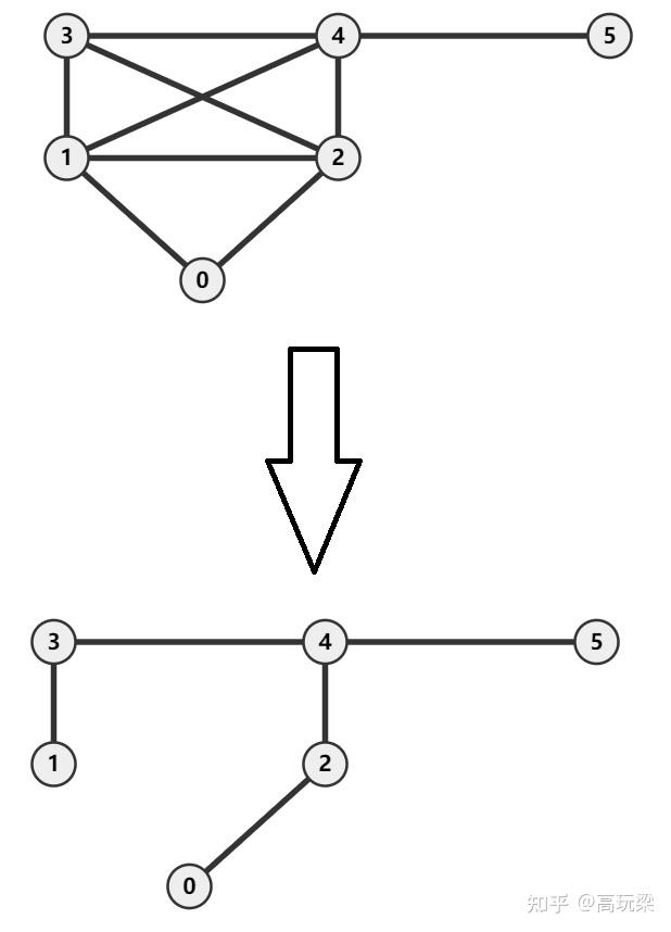
极大连通子图与极小连通子图
图片尺寸562x446
极大平面图(n>3)是3-连通图 - 知乎
图片尺寸1096x592
关于 数据结构 强连通分量 问题
图片尺寸647x230
三个连通分量
图片尺寸1080x810
路径连通连通图强连通图连通分量极大连通子图以及割点割边保姆级解释
图片尺寸325x263
连通图和强连通图
图片尺寸1158x662
那么显然一个强联通分量肯定属于半联通子图 那先考
图片尺寸500x300![[原]poj 2117 electricity (无向图割点去除后最大连通分支数)](https://i.ecywang.com/upload/1/img1.baidu.com/it/u=396317999,3433266698&fm=253&fmt=auto&app=138&f=JPG?w=500&h=233)
[原]poj 2117 electricity (无向图割点去除后最大连通分支数)
图片尺寸933x434
一图搞清楚(非)(强)连通图中的极大(小)(强)连通子图
图片尺寸902x419
在一个图里求连通子图
图片尺寸2448x3264
满足考研角度理解数据结构的连通图极大连通子图等概念
图片尺寸1239x627